这个家伙很懒,什么也没有留下
追踪最近的用户名外显变动记录。
最近的文章、讨论、云剪贴板与社区记录
在讨论《0分求解,略微指导》回复:
@[Jimmy0824](luogu://user/1618655) 你代码呢
在讨论《关于样例的疑问》回复:
是我唐了,此贴结
在讨论《关于样例的疑问》回复:
@[wanganze](luogu://user/841039) 意思是 $0$ 不是一个真实存在的点,只是为了表示根
在讨论《关于样例的疑问》回复:
@[wanganze](luogu://user/841039) 哦,我知道了
在讨论《关于样例的疑问》回复:
@[wanganze](luogu://user/841039) 接下来 M 行,每行包含若干个整数,表示一个树。第一个整数 N表示点数。接下来 N 个整数,依次表示编号为 1 到 N 的每个点的父亲结点的编号。根节点父亲结点编号为 0。
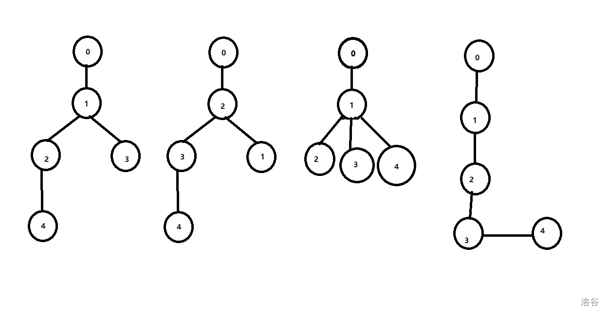
样例中的第一棵树和第二棵树确实同构,但第四棵树是条链啊,怎么和一二同构? 四棵树的图:  轻点骂。
在讨论《此处悬赏 5RMB 求调(必须是楼主的思路)》回复:
此贴结
在讨论《此处悬赏 5RMB 求调(必须是楼主的思路)》回复:
明天你来渝北我就请你吃饭,5rmb(过期作废)
在讨论《此处悬赏 5RMB 求调(必须是楼主的思路)》回复:
@[ybc2027_chenyibo](luogu://user/964019) 恍然大悟
在讨论《此处悬赏 5RMB 求调(必须是楼主的思路)》回复:
@[ybc2027_chenyibo](luogu://user/964019) 乐子吧为什么11后面有11个数
在讨论《此处悬赏 5RMB 求调(必须是楼主的思路)》回复:
@[ybc2027_chenyibo](luogu://user/964019) 快调玄 1 关
在讨论《此处悬赏 5RMB 求调(必须是楼主的思路)》回复:
@[ybc2027_chenyibo](luogu://user/964019) 大佬%%%求调,请你吃饭
在讨论《此处悬赏 5RMB 求调(必须是楼主的思路)》回复:
@[314zbl](luogu://user/1029225) 不好意思放错了 https://www.luogu.com.cn/record/260420627
WA50pts,[评测](https://www.luogu.com.cn/problem/P2279)。 当然证明楼主的思路不可能 AC(完全错误)也可以。 真的通过可以加楼主微信,id 为 lyh_17772458533。 ```cpp #include using namespace std; const int…
在讨论《求初二小四门开卷如何备考》回复:
No,我们学校初一初二是闭卷考
在文章《令我感到失败的竞赛》发表评论:
加油!打破天生的劣等感!
在讨论《『GTOI』Round 2 赛时答疑帖》回复:
qp,期末基本上都没有心情打了,但预祝比赛顺利
在文章《堕海的平行线》发表评论:
qp!
在讨论《蒟蒻求调》回复:
%%%
在讨论《被永久封禁怎么办》回复:
@[zkcsp_LSR](luogu://user/1824721) 抱抱
在讨论《来推荐一道好题!》回复:
hp
在讨论《for 循环究极宏定义》回复:
%%%
在讨论《求问USACO》回复:
艹我T1不会做
在讨论《发布帖子》回复:
如果我在做题我就不会看这个帖子了
在讨论《求助心情》回复:
@[Revitalize](luogu://user/553192) 一写就是一个晚自习怎么办(已经实践过了QAQ)
在讨论《洛谷 2025 年鉴》回复:
@[OIer_sundingjia](luogu://user/704139) 好
在讨论《洛谷 2025 年鉴》回复:
@[OIer_sundingjia](luogu://user/704139) 你没给我私信权限
在讨论《洛谷 2025 年鉴》回复:
@[OIer_sundingjia](luogu://user/704139) 根据对方的设置,你不能向他发送私信
在讨论《洛谷 2025 年鉴》回复:
@OIer_sundingjia 根据对方的设置,你不能向他发送私信
在讨论《我该在哪里停留》回复:
@[guojiujiang](luogu://user/1317776)@[spdarkle](luogu://user/507718)@[cqbzzlr](luogu://user/1238483)@[ybc2027_sutongyan](luogu://user/948757)@[longlong_int](luo…