已退役 | 东方众OIer交流群 (幻想乡养老院) : 691090556
追踪最近的用户名外显变动记录。
最近的文章、讨论、云剪贴板与社区记录
在文章《SYSU军训回忆录》发表评论:
sysu 大跌
在文章《某帅气的哥群周刊第三刊-「以是为恨」》发表评论:
神作
在讨论《题解中这个同样的dp求两次是为啥?》回复:
@[elpsconr](/user/1122530) 关于求两次:两次 DP 的初值是不同的,第一次 `dp[0]=0`,对应题解里 $2\le x\le n$ 的情况;第二次 `dp[0]=1`,对应 $x=1$ 的情况。$u$ 记录的是第一次 DP 求得的 $2\le x\le n$ 的 `dp[k]`,与第二次的…
在讨论《求助,0分》回复:
具体还不知道为什么,刚才换了我自己的快读就过了、、、
在讨论《求助,0分》回复:
@[tamamocross](/user/754444) 读入挂了。
在讨论《如果你李超树 91pts WA10》回复:
只离散化横坐标后计算线段的斜率,相当于直接把一段很长的区间缩没了,这么搞显然不行、、、
如果仅把所有线段的横坐标离散化并直接替换原线段,可能会导致新的线段间出现相交的情况。 我的解决方案是仅在将线段插入李超树使用离散化后的横坐标表示区间,在计算线段某点的值时仍使用原始的横坐标。
在讨论《警钟长鸣》回复:
你 tama 的做得好啊!
在讨论《洛谷 3 月普及组模拟比赛 & WdOI R5 赛后评价贴》回复:
出镜(误)的阿空来评一下? 打比赛的时候忘了上这个号( 有签到有大样例题考察的也不偏题也不难,打的时候oj也没有炸,感觉还是不错的 B 题有一处题意理解错了浪费了些时间,然后没调出C(也或许是做法假了)的时候去吃饭了,可惜没看到出镜的题目。 但确实不错,支持。
在讨论《省选2021 游记集合贴》回复:
@[kkksc03](/user/1) [SDOI2021 退役记](https://www.luogu.com.cn/blog/luckyblock/sdoi-tui-yi-ji)
在讨论《day1 t1存在有正确性保证的线性做法吗?orz》回复:
Cu ball
在讨论《退役了。》回复:
祝好
在讨论《东方出新作了!!!》回复:
好耶!
在讨论《萌新求助》回复:
@[AFO_tony1107](/user/315772) 以下是自己 YY 的一种证明。我的组合学的很垃圾,如果有错误请不吝赐教 原式: $$\sum_{k=p}^{n}(-1)^k \dbinom{n}{k}…
在讨论《70分的进来看》回复:
孩子调了 2h 调傻了,多谢帮助 orz
在讨论《bzoj有没有翻版》回复:
通过 bzoj 泄露的数据建立的 [darkbzoj](http://darkbzoj.tk)。
在讨论《这才是情人节该来的地方》回复:
隔壁叔叔情人节还在看华灯宴,可好看了,你也跟他一起看.jpg
在讨论《wc查分在哪里?》回复:
@[FrenkiedeJong21](/user/203968) 可以翻翻 LA 群聊天记录
在讨论《【急】求网址》回复:
@[bellmanford](/user/116015) 牛客上有几场的题
在讨论《#求助hack数据的原理》回复:
@[xwt1](/user/86711) 其实是我图锅了( 正确的图应该如下: 
在讨论《#求助hack数据的原理》回复:
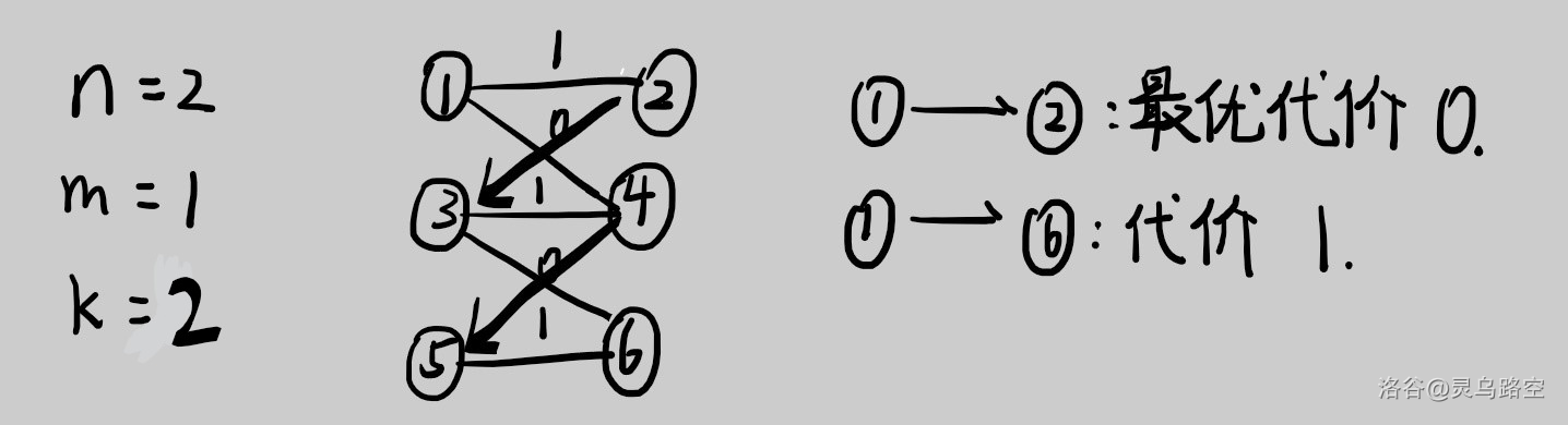
@[xwt1](/user/86711) 图又好像有点问题,图中的 $k$ 应该等于 $2$。 这是上图的数据: ```txt 2 1 2 1 2 1 2 1 ```
在讨论《#求助hack数据的原理》回复:
@[xwt1](/user/86711) 上面说的有点问题(( 如果边是有向的会出现起点与最后一层的终点不连通的情况。 此题边是无向的,会出现起点到最后一层终点的代价并不一定是最小的情况。下图是一个简单的例子:  若 $m<k$ 时,可能会出现起点无法到达最后一层图的情况。具体情况您可以画张图感受一下。
在讨论《开鲨了开鲨了(5/7)》回复:
极值设小了(( 被杀了,太狠了!111 
在讨论《求较简单的紫题》回复:
@[B_F_S](/user/148507) 建议学新知识做模板题。
在讨论《【㵘】求UNDERTALE电脑中文版下载链接》回复:
@[Iwara_qwq](/user/377164) 建议 steam 玩正版= = 如果不想等史低直接玩的话可以去某宝买 key。
在讨论《【最短路】关于卡 SPFA》回复:
@[Aw顿顿](/user/212283) 应该是的。 另外朴素的 Spfa 在所有图上的复杂度上界都是 $O(nm)$ 的。 ~~拒绝负优化从我做起~~
在讨论《【最短路】关于卡 SPFA》回复:
@[Aw顿顿](/user/212283) 昨天我也在研究如何杀死 Spfa( 似乎 spfa 被卡到指数级只会发生在出现负权边的图中。在非负权图上 Spfa 的上界就是 Bellman-Ford。 关于如何在非负权图上把 Spfa 卡到上界可以看这里:[link1](https://www.cnblogs.com/l…
在讨论《【水】关于学校连上12天课还考期末。。。(违规紫衫)》回复:
@[loceaner](/user/198323) 捉