首页
D
401211
当前主题:自动模式
查看保存队列
搜索
社区讨论
Treap神必错求救(测试点2本机正确测评WA)
L
Lisdery
2022/01/23 11:20
P3369
【模板】普通平衡树
参与者 3
已保存回复 3
讨论操作
快速查看讨论及其快照的属性,并进行相关操作。
当前回复
3 条
当前快照
1 份
快照标识符
@lo9hg3gg
此快照首次捕获于
2023/10/28 11:28
2 年前
此快照最后确认于
2023/10/28 11:28
2 年前
查看原帖
时光机
更新帖子
复制链接
复制快照链接
复制零楼 Markdown
rt:
code
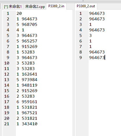
测评记录:
测试点2:
程序输出(左) 与 标准输出(右):
回复
共 3 条回复,欢迎继续交流。
最新优先
最早优先
搜索
正在加载回复...
相关推荐