首页
D
380814
当前主题:自动模式
查看保存队列
搜索
社区讨论
有点小问题想请教
B
Buckbeak
2021/11/16 20:18
学术版
参与者 5
已保存回复 12
讨论操作
快速查看讨论及其快照的属性,并进行相关操作。
当前回复
12 条
当前快照
1 份
快照标识符
@lobc5rne
此快照首次捕获于
2023/10/29 18:36
2 年前
此快照最后确认于
2023/11/04 00:23
2 年前
查看原帖
时光机
更新帖子
复制链接
复制快照链接
复制零楼 Markdown
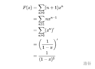
大问题
看不懂,从第三行开始懵逼
来自oiwiki
有没有大佬愿意给萌新讲一下QwQ
回复
共 12 条回复,欢迎继续交流。
最新优先
最早优先
搜索
正在加载回复...
相关推荐