首页
D
321118
当前主题:自动模式
查看保存队列
搜索
社区讨论
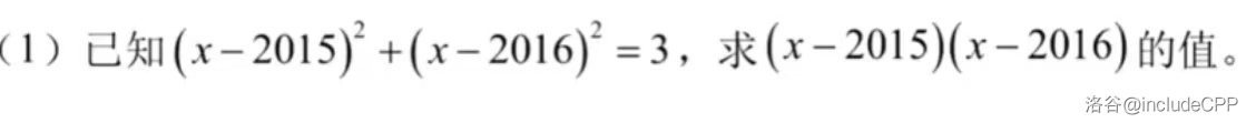
求助一道数学题
i
includeCPP
2021/06/08 20:04
灌水区
参与者 10
已保存回复 22
讨论操作
快速查看讨论及其快照的属性,并进行相关操作。
当前回复
22 条
当前快照
1 份
快照标识符
@loc9wfe4
此快照首次捕获于
2023/10/30 10:20
2 年前
此快照最后确认于
2023/11/04 22:08
2 年前
查看原帖
时光机
更新帖子
复制链接
复制快照链接
复制零楼 Markdown
RT,
图片(更清楚点)
回复
共 22 条回复,欢迎继续交流。
最新优先
最早优先
搜索
正在加载回复...
相关推荐