社区讨论

我是来搞笑的

P4071[SDOI2016] 排列计数参与者 10已保存回复 15

讨论操作

快速查看讨论及其快照的属性,并进行相关操作。

当前回复
15 条
当前快照
1 份
快照标识符
@mi7wp5v0
此快照首次捕获于
2025/11/21 04:51
4 个月前
此快照最后确认于
2025/11/21 06:35
4 个月前
查看原帖
这题就是让你求一个长度为 kk 的排列的错排数。
错排就是第 ii 个数字不是 ii 的排列。
翻了一下题解和网络,发现只有我一个傻逼试图用容斥推导错排公式。
结果推出来的式子和题解都不一样(噗)
那就做一次傻逼吧。设一下错排数列,推导的思路就是容斥的基本思路:
  • 我们枚举对排的数量 ii
  • 并且让其他的位置胡乱排就可以了,再容斥掉其他位置也产生对排的情况。
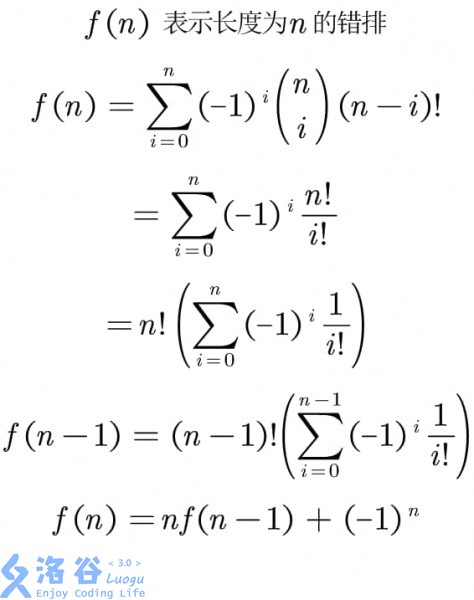
f(n)表示长度为n的错排\text{设}\,f\left( n \right) \text{表示长度为}n\text{的错排}
直接按照思路写下公式
f(n)=i=0n(1)i(ni)(ni)!f\left( n \right) =\sum_{i=0}^n{\left( -1 \right) ^i\left( \begin{array}{c} n \\ i \end{array} \right) \left( n-i \right) !}
看见后面是 (ni)!(n-i)! ,回想一下组合数公式就会发现我们可以把组合数拆了:
=i=0n(1)in!i!=\sum_{i=0}^n{\left( -1 \right) ^i\frac{n!}{i!}}
提出来
=n!(i=0n(1)i1i!)=n!\left( \sum_{i=0}^n{\left( -1 \right) ^i\frac{1}{i!}} \right)
尝试递推,我们列出 f(n1)f(n-1) 的式子看看要加几项才可以变成 f(n)f(n)
f(n1)=(n1)!(i=0n1(1)i1i!)f\left( n-1 \right) =\left( n-1 \right) !\left( \sum_{i=0}^{n-1}{\left( -1 \right) ^i\frac{1}{i!}} \right)
(n1)!(n-1)! 乘个 nn 变成 n!n! 之后, 括号里面只缺多出来的 (1)n1n!(-1)^n \frac{1}{n!} 这一项,把括号拆了, 乘进去发现是
n×f(n1)=i=0n1(1)in!i!n\times f\left( n-1 \right) =\sum_{i=0}^{n-1}{\left( -1 \right) ^i\frac{n!}{i!}}
那么补上剩下的 (1)nn!n!(-1)^n \frac{n!}{n!} 就可以得到
f(n)=n×f(n1)+(1)nf\left( n \right) =n \times f\left( n-1 \right) +\left( -1 \right) ^n
然后这么递推是 O(n)\mathcal{O}(n) 的。
我还生成了一个图

回复

15 条回复,欢迎继续交流。

正在加载回复...