专栏文章
题解:P13555 【MX-X15-T2】系绳绳
P13555题解参与者 1已保存评论 0
文章操作
快速查看文章及其快照的属性,并进行相关操作。
- 当前评论
- 0 条
- 当前快照
- 1 份
- 快照标识符
- @mioja4i7
- 此快照首次捕获于
- 2025/12/02 20:07 3 个月前
- 此快照最后确认于
- 2025/12/02 20:07 3 个月前
题解:P13555 【MX-X15-T2】系绳绳
非常有意思的一道题,赛时想了半小时。
前置知识
度数

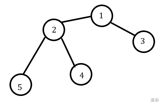
对于边为无向的图/树,一个节点的度数的定义为连接这个节点的边数。
如上图, 号节点的度数为 , 号节点的度数为 。
分析
简化一下题意,对于每次操作,选一个编号为 的节点作为树的根节点,每个节点都用“绳子”连接它的祖先节点。求最小的操作次数,使得每两个节点都有绳子连接。
先考虑特殊性质。
特殊性质#1:每个节点的度数都不超过
如果每个节点的度数都不超过 ,那么这棵树是线性的,如下图。

不难发现,选择头/尾节点任意其一(即图中读数为 的 号节点和 号节点)进行操作,就能让每两个节点都有绳子连接(图中红色线为“绳子”)。
所以输出 即可。
特殊性质#2:存在一个节点的度数为

显然,必有 个度数为 的叶子节点,选择这些叶子中任意 个进行操作,即可满足要求,所以输出 即可。
读者如果不懂,可以自行按照上图操作一下(qwq)。
最终结论
通过上述对于特殊性质的探究,我们发现,最小的操作次数都为叶子节点的个数减 。
所以:
可以证明,如果叶子节点(即度数为 的节点)的个数为 ,则答案为 。
坑
统计每组数据的节点度数之前,统计度数的数组要初始化。
当输入的 为 时,要特判,输出 。
代码
CPP#include<bits/stdc++.h>
using namespace std;
const unsigned long long N=1e5+5;
typedef long long ll;
int x,y,z,c,a,n,m,k,t,d[N],f1,f2;
int main(){
ios::sync_with_stdio(0);
cin.tie(0);
cout.tie(0);
cin>>t;
while(t--){
memset(d,0,sizeof(d));//记得初始化qwq
cin>>n;
if(n==1){//特判,n为1
cout<<0<<'\n';
continue;
}
for(register int i=1;i<n;i++){
cin>>x>>y;
d[x]++;//统计每个点的度数
d[y]++;//同上
}
c=0;//计数器
for(register int i=1;i<=n;i++){
//cout<<d[i]<<' ';
if(d[i]==1)c++;//统计度数为1的节点个数
}
cout<<c-1<<'\n';
}
return 0;
}
相关推荐
评论
共 0 条评论,欢迎与作者交流。
正在加载评论...