专栏文章
题解:P3919 【模板】可持久化线段树 1(可持久化数组)
P3919题解参与者 5已保存评论 4
文章操作
快速查看文章及其快照的属性,并进行相关操作。
- 当前评论
- 4 条
- 当前快照
- 1 份
- 快照标识符
- @mip3he7d
- 此快照首次捕获于
- 2025/12/03 05:33 3 个月前
- 此快照最后确认于
- 2025/12/03 05:33 3 个月前
在这里介绍两种做法:在线的 做法(正解)与离线的 做法。
(感谢这篇题解为我提供的离线方案的思路。)
在线做法(可持久化线段树)
一种简单,容易想到的暴力做法就是每一次创建一个新版本就复制一个新数组,时间和空间复杂度都是 ( 次操作,每次创建一个大小为 的数组,从原数组复制要进行 次操作)。本题 ,,这种做法显然不可接受。
我们观察需要创建新版本的场景,可以发现每次最多只会修改一个数,有时甚至不会修改,这些不修改的数字如果每一次都复制的话代价太高了。很容易想到每一次只记录修改的部分。
我们可以使用一种叫做可持久化线段树的数据结构。(没学过线段树的请右转学习线段树。)
我们现在先将版本 到版本 的线段树单独画出来:

我们发现版本 和版本 是重复的,我们可以直接将这些节点合并(将第二颗树的根节点的儿子设成第一颗树的根节点的儿子):

对于版本 ,它只修改了一个数,我们可以想到只记录根节点到修改部分的一条“链”,其余的按照上面的方法操作:

总结:先将版本 的树完整的记录下来,接着之后的版本只记录修改的部分。
现在我们考虑复杂度:
空间复杂度:版本 要记录所有的数,会有 个节点。总共有 个版本。假设每一个版本都有修改,那么每一次都要记录长为 的“链”,空间复杂度约为 。在此题中 和 最大为 ,内存限制为 GB,可以接受。
时间复杂度:建第一棵树复杂度为 ,后面每一次查找复杂度都是 的,合起来就是 。
现在我们开始编程。
我们不能像普通的线段树一样通过静态数组存储一个满二叉树,这样空间会直接炸掉。
我们可以写一个结构体,里面记录了这个节点的左儿子与右儿子以及它本身的值。
CPP//由空间复杂度的分析可得数组大小
struct {int l, r, num;} tree[N << 5];
定义一个变量,表示当前分配的点的数量。
CPPint rt;
每次新建节点时,只需要将
rt 加一。我们定义一个数组,表示版本 的根节点位置以及现在有多少个版本:
CPPint root[N], nowv;
我们先看怎么新建第一棵树(原理见注释):
CPPint build(int pl, int pr) { //返回值就是创建的这棵树的根节点的编号
int cnt = ++rt, mid = (pl + pr) >> 1;
if (pl == pr) { //区间只有一个数,直接输入
scanf("%d", &tree[cnt].num);
return cnt;
}
tree[cnt].l = build(pl, mid), tree[cnt].r = build(mid + 1, pr); //分开创建当前节点的左子树与右子树
return cnt;
}
修改一个数:
CPP//返回记录的修改“链”的根节点
int upd(int p, int c, int pl, int pr, int bef) { //bef指要修改的树
int cnt = ++rt, mid = (pl + pr) >> 1;
tree[cnt].l = tree[bef].l, tree[cnt].r = tree[bef].r; //将这个节点的左右子树都指向原来的树的左右子树
if (pl == pr) { //区间内只有一个数,直接修改
tree[cnt].num = c;
return cnt;
}
if (p <= mid) tree[cnt].l = upd(p, c, pl, mid, tree[bef].l); //p在左子树
else tree[cnt].r = upd(p, c, mid + 1, pr, tree[bef].r); //p在右子树
return cnt;
}
查找:
CPP//返回查找的数
int query(int p, int pl, int pr, int now) { //now就是现在正在查找的树
if (pl == pr) return tree[now].num; //只有一个数,直接返回
int mid = (pl + pr) >> 1;
if (p <= mid) return query(p, pl, mid, tree[now].l); //p在左子树
return query(p, mid + 1, pr, tree[now].r); //p在右子树
}
主函数部分:
CPPint main() {
int n, m;
for (scanf("%d%d", &n, &m), root[nowv++] = build(1, n); m--;) {
int v, op, p, c;
scanf("%d%d%d", &v, &op, &p);
if (op == 1) scanf("%d", &c), root[nowv++] = upd(p, c, 1, n, root[v]);
else printf("%d\n", query(p, 1, n, root[nowv++] = root[v]));
}
}
整理:
CPP#include <cstdio>
const int N = 1e6 + 5;
int rt, root[N], nowv;
struct {int l, r, num;} tree[N << 5];
int build(int pl, int pr) {
int cnt = ++rt, mid = (pl + pr) >> 1;
if (pl == pr) {
scanf("%d", &tree[cnt].num);
return cnt;
}
tree[cnt].l = build(pl, mid), tree[cnt].r = build(mid + 1, pr);
return cnt;
}
int upd(int p, int c, int pl, int pr, int bef) {
int cnt = ++rt, mid = (pl + pr) >> 1;
tree[cnt].l = tree[bef].l, tree[cnt].r = tree[bef].r;
if (pl == pr) {
tree[cnt].num = c;
return cnt;
}
if (p <= mid) tree[cnt].l = upd(p, c, pl, mid, tree[bef].l);
else tree[cnt].r = upd(p, c, mid + 1, pr, tree[bef].r);
return cnt;
}
int query(int p, int pl, int pr, int now) {
if (pl == pr) return tree[now].num;
int mid = (pl + pr) >> 1;
if (p <= mid) return query(p, pl, mid, tree[now].l);
return query(p, mid + 1, pr, tree[now].r);
}
int main() {
int n, m;
for (scanf("%d%d", &n, &m), root[nowv++] = build(1, n); m--;) {
int v, op, p, c;
scanf("%d%d%d", &v, &op, &p);
if (op == 1) scanf("%d", &c), root[nowv++] = upd(p, c, 1, n, root[v]);
else printf("%d\n", query(p, 1, n, root[nowv++] = root[v]));
}
}
于是这题在线正解完结。
离线(递归)
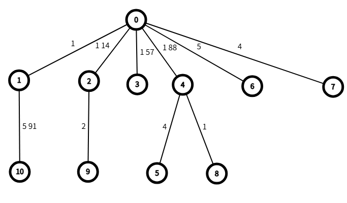
我们发现,每两个版本之间最多只会有一次修改,如果将版本画出来会形成一颗多叉树。以样例为例(边上只有一个数字代表查询,两个数字代表修改):

我们可以想到通过递归的方法,每次经过一个边的时候就处理这个边所对应的操作。
写一个结构体用来存储操作:
CPPstruct op {int op, p, c, ind;}; //op是操作类型,p和c如题面所说,ind表示这个操作输出对应的序号(如果不是查询则为0)
每一条边上有且只会有一个操作,考虑邻接表。
CPPstd::vector<std::pair<int, op>> tree[N]; //每一个pair的第一个int表示指向的版本,第二个op表示这条边上的操作
定义一个存储查询的数组及表示有多少条查询的变量:
CPPint result[N], resind;
定义 数组:
CPPint a[N];
递归:
CPPvoid dg(int p) { //遍历到第p个版本
for (auto g : tree[p]) { //遍历自己的儿子
const op &nop = g.second;
if (nop.op == 1) { //修改操作
int tmp = a[nop.p]; //存储原来的数
a[nop.p] = nop.c, dg(g.first); //执行修改操作并处理儿子
a[nop.p] = tmp; //还原原来的状态
} else result[nop.ind] = a[nop.p], dg(g.first); //存储答案
}
}
主函数:
CPPint main() {
int n, m, nowv = 0; //n与m如题意,nowv表示当前有多少个版本
scanf("%d%d", &n, &m);
for (int i = 1; i <= n; ++i) scanf("%d", a + i);
for (int v, op, p, c; m--;) {
scanf("%d%d%d", &v, &op, &p);
if (op == 1) scanf("%d", &c);
else c = 0, resind++; //增加一条查询
tree[v].push_back({++nowv, {op, p, c, resind}});
}
dg(0);
for (int i = 1; i <= resind; ++i) printf("%d\n", result[i]); //按照顺序输出查询
}
整理:
CPP#include <cstdio>
#include <vector>
const int N = 1e6 + 5;
int a[N], result[N], resind;
struct op {int op, p, c, ind;};
std::vector<std::pair<int, op>> tree[N];
void dg(int p) {
for (auto g : tree[p]) {
const op &nop = g.second;
if (nop.op == 1) {
int tmp = a[nop.p];
a[nop.p] = nop.c, dg(g.first);
a[nop.p] = tmp;
} else result[nop.ind] = a[nop.p], dg(g.first);
}
}
int main() {
int n, m, nowv = 0;
scanf("%d%d", &n, &m);
for (int i = 1; i <= n; ++i) scanf("%d", a + i);
for (int v, op, p, c; m--;) {
scanf("%d%d%d", &v, &op, &p);
if (op == 1) scanf("%d", &c);
else c = 0, resind++;
tree[v].push_back({++nowv, {op, p, c, resind}});
}
dg(0);
for (int i = 1; i <= resind; ++i) printf("%d\n", result[i]);
}
完结撒花~
相关推荐
评论
共 4 条评论,欢迎与作者交流。
正在加载评论...