专栏文章
浅谈LCT
算法·理论参与者 4已保存评论 3
文章操作
快速查看文章及其快照的属性,并进行相关操作。
- 当前评论
- 3 条
- 当前快照
- 1 份
- 快照标识符
- @minpt023
- 此快照首次捕获于
- 2025/12/02 06:22 3 个月前
- 此快照最后确认于
- 2025/12/02 06:22 3 个月前
动态树 LCT (Link - Cut - Tree)
一、什么是 LCT ?
先给出一道题:
给出一棵树,每个点都有点权,要求进行一些操作:
- 将树上两个点间的简单路径上的点的点权加上某个数
- 统计树上两个点间的简单路径上的点的点权之和
很显然,这是一道树链剖分的模板题,只需要求出每个点的重儿子就行了(重儿子是指其子树节点数最多的一个儿子)。
然而,倘若我们增加两种操作:连边与断边。使这个问题由一棵树上的操作变成一片森林的操作,树链剖分就不管用了,那么这时,我们该怎么办呢?
相信你已经想到了,那就是我们今天的主角—— LCT !
动态树,顾名思义,就是一种用对数复杂度处理一些形态会改变的树上问题。非常的好用。
二、LCT 的原理
1. 建立辅助树
LCT 的原理很简单,简单概括就是 splay 树 + 树链剖分。
倘若再进行连边与断边操作时,我们直接在原树上修改,就会影响我们先前做的处理,导致我们很难统计链上的信息。
因此我们建立一棵辅助树,使得原树与辅助树能够相互转换,就能够通过改变辅助树来改变原树的形态。
那么这棵辅助树该怎么建呢?
实际上我们还是使用树链剖分,不过由于树的结构是变化的,所以提前剖好所有的链没有意义,因此这里的树链剖分既不是重链剖分,也不是长链剖分。
我们给出一棵树。

对它进行剖分,我们把剖出的边(加粗的)称为实边,其余的称为轻边,其中多条实边可以构成实链(注意:实边不一定要覆盖整棵树,也可以整棵树没有一条实边,全都是轻边)

在剖好链之后,我们将每条实链的节点按从上到下的顺序建一棵 splay 树,其中 splay 树的中序遍历就是原树实链上从上到下的顺序,比如原树上的 这条实链,建好后就长这样。

再比如 这条链,建好后就长这样。

但是,现在还有一个问题,原树上的轻边怎么办呢?很简单,直接挂上去就行了,就比如说 这条实链中 还有一条轻边连接 ,直接在辅助树上连接。

不过,实际上辅助树不应该这么连,因为 在他所在的 splay 树上有它自己的父亲(除非它在 splay 树上是根节点)因此,应该将 与 所在 splay 树上的根节点连边。

通过这些方法,我们就能建出辅助树,容易发现,由辅助树的形态可以还原出原树的形态,因此我们接下来直接在辅助树上操作就可以了。

2. 操作
操作是 LCT 的核心操作之一,它的作用是在原树上建一条以原树根节点为起点,以 为终点的一条实链。(注意:不改变原树的形态)
举个例子:
首先,我们将 旋转到它所在 splay 树的根,并断开与右儿子的联系。不过这里没有右儿子。

其次,我们将 现在的父节点 (也是它在原树上的父节点)旋转到它所在 splay 树的根并将右儿子替换为 。
(为什么是右儿子? 因为 在原树上比 深度多 ,因此在 splay 树上的中序遍历顺序也应该比 多 ,也就是成为 的右儿子)

然后我们再不断进行以上操作直到找到根节点,这样,我们就建出一条起点为原树根节点,终点为 的一条实链了。

3. 操作
操作在原理和实现上都非常简单,它的作用是将以 为根的一棵 splay 树内部的所有结点的左右儿子全部翻转(对应到原树上就是将一条实链从上到下全部翻转)
实现很简单,在 打个翻转的懒标记,后面执行其他操作时将标记下传就行了。
我们以初始辅助树, 为例

4. 操作
操作也是 LCT 的核心操作之一,它的作用是将一个节点在原树上翻转到根。
的实现并不难,我们先进行 操作,建一条从根到 的实链,再把 在辅助树上旋转到根,最后进行 操作就可以了。(原本根在链顶端, 在链底端,翻转之后 在链顶端,原本的根在链底端,相当于把 替换到根的位置)

对应到原树上就是这样

5. 操作
操作的功能和 操作类似,不过它的功能是在辅助树上建立起一条起点为 ,终点为 的一条实链。
很容易想到, 操作和 操作类似,因此可以借助 来实现 操作。
首先,我们进行 操作,使原树的根变为 ,再进行一次 操作,由于此时原树的根为 因此 操作相当于建立一条起点为 ,终点为 的一条实链,最后执行 ,把 旋转到这条实链的根,方便后续操作。
我们以 为例:

6. 操作与 操作
接下来,就到我们最关心的内容了,连边操作与断边操作!! 这也是 LCT 相比于普通树链剖分的优势。
意思就是将原树上的 , 之间连一条边,实现这个操作一点儿也不复杂。
我们现在加入一个新节点 ,以 为例:
首先 ,将 翻转到它所在的树的根,由于它此时为根节点,因此它现在的父亲为 ,于是我们令 的父亲为 ,便不会改变树上维护的信息。

对应到原树上就是这样

的作用与 的作用相反,作用是将原树上 , 之间的边断开, 的实现比 复杂一些,为了方便操作,我们在原树上建一条从 到 的实链,此时,, 直接相连,因此,在这条实链对应的 splay 树上, 为 的左儿子且 没有右儿子。(如果不是,则说明 和 在原树上没有连边,直接退出)
如果 , 在原树上有连边,则直接断开 , 之间的联系,让 成为他所在树上的根,并更新 所记录的这条实链上的信息。
我们使用刚才 之后的树,以 为例:

对应到原树上就是这样

7. 信息维护
LCT 上的信息是在实链内维护的,一条实链对应的 splay 树上的根节点维护这条实链上的信息,这也导致了 LCT 的缺点:只能处理链上的信息,而不能处理子树的信息。 如果想要维护子树上的信息,就只能使用更高级的动态树 SATT(Self - Adjusting Top Tree)。
8. 其他函数
除了上述重要函数外,还有 等函数,在后面的程序实现中会介绍的。
三、时间复杂度
以下证明来源于oi-wiki
因为 LCT 中所有操作皆以 操作为基本操作,因此我们只需求出 操作的平摊复杂度,就能得到 LCT 所有操作的平摊复杂度。
操作的时间复杂度主要来源于 操作与虚实链转换。
1. 操作
- 由 splay 树的时间复杂度 分析易知, 操作的均摊时间复杂度为
2.虚实链转换
参考树链剖分,定义两种虚边:
- 重虚边: 连向父亲的虚边,其中
- 轻虚边: 连向父亲的虚边,其中
对于虚边的处理,可以使用势能分析,定义势能函数 为所有重虚边的数量,定义均摊成本 ,其中 为实际操作的成本, 为势能的变化。
-
走过重虚边后,会将重虚边转换为实边,该操作会减少 1 的势能,因为它通过加强重要连接来优化树的结构。且由于其实际操作成本为 ,抵消了势能的增加,故不会增加均摊成本,所有的均摊成本集中在轻虚边的处理上。
-
每次 操作最多遍历 条轻虚边,因此至多消耗 的实际操作成本,转化得到 条重虚边,即势能以 的代价增加。
由此,最终访问虚边的均摊复杂度为实际操作成本和势能变化的和,即 。
综上所述,LCT 中 操作的时间复杂度是 操作和虚边访问的复杂度之和,因此最后的均摊复杂度为 。
四.程序实现
1.结构体定义
CPP#include<bits/stdc++.h>
#define ls ch[0]
#define rs ch[1]
using namespace std;
struct stu{
int fa,ch[2];
//虚边中子节点指向父亲,但父节点不指向儿子
//只有实边的父亲儿子才会互相记录
int val,sum;
int tag;//reserve操作的翻转标记
}t[N];
2. 操作(查找某节点是否为该节点所在 splay 树的根)
CPPbool isroot(int u){return t[t[u].fa].ls!=u&&t[t[u].fa].rs!=u;}
//当此节点为splay树的根时,它的父亲不会记录它
3. 操作(信息上传)
CPPvoid pushup(int u){
t[u].sum=t[t[u].ls].sum+t[t[u].rs].sum+t[u].val;
}
4. 操作(翻转左右子树)
CPPvoid reverse(int u){
if(!u)return;
swap(t[u].ls,t[u].rs);//翻转左右子树
t[u].tag^=1;//打标记
}
5. 操作(标记下传)
CPPvoid pushdown(int u){
if(t[u].tag){
reverse(t[u].ls);
reverse(t[u].rs);
t[u].tag=0;
}
}
6. 操作(标记全部下传)
CPPvoid push(int u){
if(!isroot(u))push(t[u].fa);
//一定要先遍历父亲再下传,否则父亲标记残留可能导致信息下传错误
pushdown(u);
}//为后续splay准备
7. 操作
CPPvoid rotate(int u){
int f=t[u].fa;
int g=t[f].fa;
int k=(u==t[f].rs);
if(!isroot(f)){
if(t[g].ls==f)t[g].ls=u;
else t[g].rs=u;
}
t[u].fa=g;
t[f].ch[k]=t[u].ch[k^1];
if(t[u].ch[k^1])t[t[u].ch[k^1]].fa=f;
t[u].ch[k^1]=f;
t[f].fa=u;
pushup(u),pushup(f);//更新链上信息
}
8. 操作
CPPvoid splay(int u){
push(u);
while(!isroot(u)){
int f=t[u].fa,g=t[f].fa;
if(!isroot(f)){
if((t[f].ls==u)==(t[g].ls==f))rotate(f);
else rotate(u);
}
rotate(u);
}
pushup(u);//更新链上信息
}
9. 操作
CPPvoid access(int u) {
for(int child=0;u;child=u,u=t[u].fa)//让原先的u成为儿子,建立实边
{
splay(u);//将当前节点u旋转到其所在辅助助树的根位置
t[u].ch[1] = child;//将u的右孩子设为child
pushup(u);//更新链上信息
}
}
10. 操作
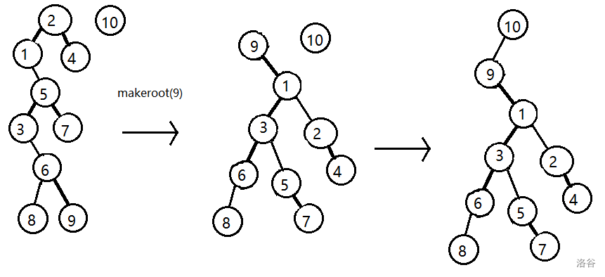
CPPvoid makeroot(int u){
access(u),splay(u),reverse(u);
}
11. 操作
CPPvoid split(int x,int y){
makeroot(x);
access(y);
splay(y);
}
12. 操作
CPPvoid link(int x,int y){
makeroot(x),t[x].fa=y;
}//连边时一定要判断两点是否连通!否则会产生环。
13. 操作
CPPvoid cut(int x,int y){
split(x,y);
if(t[y].ch[0]!=x||t[x].ch[1])return;//x和y之间没有连边
t[x].fa=t[y].ch[0]=0;
pushup(y);
}
14. 操作(查找节点所在树上的根)
CPPint findroot(int u){
access(u),splay(u);//access(u)后链的顶端就是根
while(t[u].ls)u=t[u].ls;
return u;
}
所有函数
CPP#include<bits/stdc++.h>
#define ls ch[0]
#define rs ch[1]
using namespace std;
const int N=3e5+5;
int n,m,k,x,y;
struct stu{
int fa,ch[2];
int val,sum;
int tag;
}t[N];
bool isroot(int u){return t[t[u].fa].ls!=u&&t[t[u].fa].rs!=u;}
void pushup(int u){
t[u].sum=t[t[u].ls].sum+t[t[u].rs].sum+t[u].val;
}
void reverse(int u){
if(!u)return;
swap(t[u].ls,t[u].rs);
t[u].tag^=1;
}
void pushdown(int u){
if(t[u].tag){
reverse(t[u].ls);
reverse(t[u].rs);
t[u].tag=0;
}
}
void push(int u){
if(!isroot(u))push(t[u].fa);
pushdown(u);
}
void rotate(int u){
int f=t[u].fa;
int g=t[f].fa;
int k=(u==t[f].rs);
if(!isroot(f)){
if(t[g].ls==f)t[g].ls=u;
else t[g].rs=u;
}
t[u].fa=g;
t[f].ch[k]=t[u].ch[k^1];
if(t[u].ch[k^1])t[t[u].ch[k^1]].fa=f;
t[u].ch[k^1]=f;
t[f].fa=u;
pushup(u),pushup(f);
}
void splay(int u){
push(u);
while(!isroot(u)){
int f=t[u].fa,g=t[f].fa;
if(!isroot(f)){
if((t[f].ls==u)==(t[g].ls==f))rotate(f);
else rotate(u);
}
rotate(u);
}
pushup(u);
}
void access(int u){
for(int child=0;u;child=u,u=t[u].fa){
splay(u);
t[u].ch[1]=child;
pushup(u);
}
}
void makeroot(int u){
access(u),splay(u),reverse(u);
}
void split(int x,int y){
makeroot(x);
access(y);
splay(y);
}
void link(int x,int y){
makeroot(x),t[x].fa=y;
}
void cut(int x,int y){
split(x,y);
if(t[y].ch[0]!=x||t[x].ch[1])return;
t[x].fa=t[y].ch[0]=0;
pushup(y);
}
int findroot(int u){
access(u),splay(u);
while(t[u].ls)u=t[u].ls;
return u;
}
五.其他技巧
1.查询深度
先将节点 一遍,再 到根,最后所在实链的 就是该节点在原树上的深度。(根在实链顶端, 在实链底端,此时根与 的距离就是实链的节点数减一,因此 的深度就是实链的节点数减一再加一,也就是实链的节点数)
2.查询 LCA
若要求节点 , 的 LCA ,则先建一条从根到 的实链,再建一条从根到 的实链,接着将 旋转到根,然后会有三种情况:
-
为 的祖先,此时 , 的 LCA 为 ,因此我们判断 是否还在根所在的实链上,如果是就直接返回 。(若 还在这条实链上,则说明 在 时访问到 ,因此 就是 的祖先)
-
为 的祖先,此时 , 的 LCA 为 ,于是我们直接返回 此时的父亲,也就是 。
-
和 都不为对方的祖先,此时 的父亲就是 , 的 LCA。(因为这是 在根所在实链上深度最低的祖先)
容易发现,第二、三种情况都是返回 此时的父亲,因此将它们合并为一种。
于是原来的三种情况就变为了两种情况: 为 的祖先和 不为 的祖先。
代码实现:
CPPint lca(int x,int y){
if(x==y)return x;//特判x和y为同一节点
access(x);//建一条从根到x的实链
access(y);//建一条从根到y的实链
splay(x);//将x旋转为splay树的根
if(t[x].fa==0)return x;//x为y的祖先
return t[x].fa;//x不为y的祖先
}
六.习题
这是动态树的模板题,需要把刚才代码中 pushup 操作的加法改成异或。
注意:在连边时要通过 操作判断两点是否连通。
这题在原来翻转标记的基础上增加了加标记和乘标记,需要明确各种标记的下传顺序。
这题需要先将图上问题转化成树上问题,它与模板 LCT 的区别在于需要将边权转化为点权,再维护路径信息。
这道题需要将 LCT 与树的重心结合,通过 LCT 动态维护树的重心,比较考验综合能力。
相关推荐
评论
共 3 条评论,欢迎与作者交流。
正在加载评论...