专栏文章
线段树-1
题解参与者 1已保存评论 0
文章操作
快速查看文章及其快照的属性,并进行相关操作。
- 当前评论
- 0 条
- 当前快照
- 1 份
- 快照标识符
- @miozlzeu
- 此快照首次捕获于
- 2025/12/03 03:44 3 个月前
- 此快照最后确认于
- 2025/12/03 03:44 3 个月前
线段树
简述
线段树博客
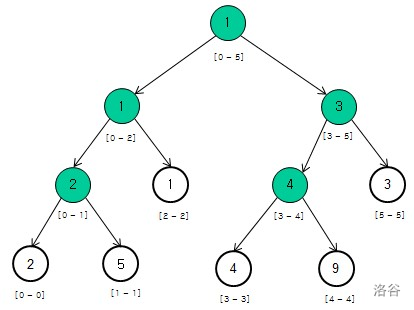
如图,将一个线性区间建成一棵树。
如图,将一个线性区间建成一棵树。

可以实现区间修改,以及区间查询。
建树
记录目前节点,以及目前区间;
将懒标签初始化为0,从高到低进建树。
CPP将懒标签初始化为0,从高到低进建树。
void tb(long long p,long long l,long long r)
{
tag[p]=0;//初始化懒标签
if(l==r)//判断是否为叶子节点
{
ans[p]=a[l];
return ;
}
long long mid=(l+r)/2;
tb(p/2,l,mid);
tb(p/2+1,mid+1,r);//一分为二,递归儿子
ans[p]=ans[p/2]+ans[p/2+1];//更新父亲
}
由二叉树的性质可知,一个节点 的儿子分别是 (左儿子)和 (右儿子)。
于是一分为二,从左右儿子继续递归。
递归完成后,要将左右儿子的区间和加给父亲。
于是一分为二,从左右儿子继续递归。
递归完成后,要将左右儿子的区间和加给父亲。
区间加
从根开始,找所求区间并加 。
CPPvoid upd(long ll,long long rr,long long l,long long r,long long p,long long k)
{
if(ll<=l&&rr>=r)//匹配吗?
{
ans[p]+=k*(r-l+1);
tag[p]+=k;
return ;
}
pd(p,l,r);//传递懒标签
long long mid=(l+r)/2;
if(ll<=mid)//向下递归儿子
{
upd(ll,rr,l,mid,p*2,k);
}
if(rr>mid)
{
upd(ll,rr,mid+1,r,p*2+1,k);
}
ans[p]=ans[p*2]+ans[p*2+1];
}
先要判断节点对应的区间是否符合要求,然后进行push_down操作,即:
CPPvoid pd(long long p,long long l,long long r)
{
long long mid=(l+r)/2;
f(p*2,l,mid,tag[p]);//传递给两个儿子
f(p*2+1,mid+1,r,tag[p]);
tag[p]=0;//reset懒标签
}
也就是说,push_down把祖先的懒标签向下传递。
f:
本质上就是把懒标签(记录在公共祖先上的增加值)和ans(区间和)更新一下
CPP本质上就是把懒标签(记录在公共祖先上的增加值)和ans(区间和)更新一下
void f(long long p,long long l,long long r,long long k)
{
tag[p]+=k;
ans[p]+=k*(r-l+1);
}
区间查询
运行方式和区间加一样,从根节点出发,不过不用修改,而是把符合的区间和加入 res 。
CPPlong long qu(long long qx,long long qy,long long l,long long r,long long p)
{
long long res=0;
if(qx<=l&&qy>=r)//匹配吗?
{
return ans[p];
}
long long mid=(l+r)/2;
pd(p,l,r);//懒标签
if(qx<=mid)//递归儿子并加入res
{
res+=qu(qx,qy,l,mid,p*2);
}
if(qy>mid)
{
res+=qu(qx,qy,mid+1,r,p*2+1);
}
return res;
}
模板
题目见P3372
标程:
CPP标程:
#include<bits/stdc++.h>
using namespace std;
const int N=4e5+7;
long long n,m,op,s,b,c;
long long a[N],ans[N],tag[N];
void tb(long long p,long long l,long long r)
{
tag[p]=0;
if(l==r)
{
ans[p]=a[l];
return ;
}
long long mid=(l+r)/2;
tb(p*2,l,mid);
tb(p*2+1,mid+1,r);
ans[p]=ans[p*2]+ans[p*2+1];
}
void f(long long p,long long l,long long r,long long k)
{
tag[p]+=k;
ans[p]+=k*(r-l+1);
}
void pd(long long p,long long l,long long r)
{
long long mid=(l+r)/2;
f(p*2,l,mid,tag[p]);
f(p*2+1,mid+1,r,tag[p]);
tag[p]=0;
}
void upd(long ll,long long rr,long long l,long long r,long long p,long long k)
{
if(ll<=l&&rr>=r)
{
ans[p]+=k*(r-l+1);
tag[p]+=k;
return ;
}
pd(p,l,r);
long long mid=(l+r)/2;
if(ll<=mid)
{
upd(ll,rr,l,mid,p*2,k);
}
if(rr>mid)
{
upd(ll,rr,mid+1,r,p*2+1,k);
}
ans[p]=ans[p*2]+ans[p*2+1];
}
long long qu(long long qx,long long qy,long long l,long long r,long long p)
{
long long res=0;
if(qx<=l&&qy>=r)
{
return ans[p];
}
long long mid=(l+r)/2;
pd(p,l,r);
if(qx<=mid)
{
res+=qu(qx,qy,l,mid,p*2);
}
if(qy>mid)
{
res+=qu(qx,qy,mid+1,r,p*2+1);
}
return res;
}
int main()
{
ios::sync_with_stdio(false);
cin>>n>>m;
for(int i=1;i<=n;i++)
{
cin>>a[i];
}
tb(1,1,n);
while(m--)
{
cin>>op;
cin>>s>>b;
if(op==1)
{
cin>>c;
upd(s,b,1,n,1,c);
}
else
{
cout<<qu(s,b,1,n,1)<<endl;
}
}
return 0;
}
- 最后要注意一下,线段树在最大的情况下有接近 的大小,数组要开够。(求和可别忘了long long欧~)
相关推荐
评论
共 0 条评论,欢迎与作者交流。
正在加载评论...