专栏文章
数学 Trick 之:双线 Catalan / 反射容斥
算法·理论参与者 4已保存评论 4
文章操作
快速查看文章及其快照的属性,并进行相关操作。
- 当前评论
- 4 条
- 当前快照
- 1 份
- 快照标识符
- @mipy2gfw
- 此快照首次捕获于
- 2025/12/03 19:49 3 个月前
- 此快照最后确认于
- 2025/12/03 19:49 3 个月前
能够解决的问题
形如这一类问题:从 到 ,每次往上或右走,不能走到给定的两条直线。
优缺点
无
思路
首先,如果你不会单线做法,可以先看看 Catalan 的内容。
我们先回顾一下一条直线。

我们走了一个对称点来得到不合法的值,而且这里有一个重要性质:无论经过多少次直线,都可以通过走一个对称点来不重不漏地计数(下文称为 性质 )。
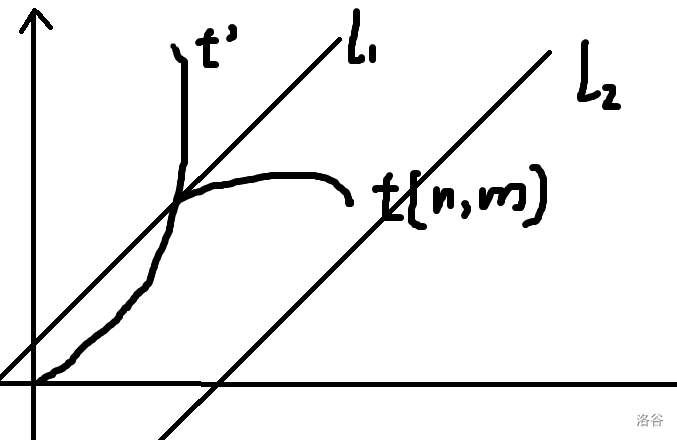
我们考虑两条线的时候的不合法情况。
设两个直线为 。
根据 性质 ,连续经过一条直线可以算作一次,所以我们可以把不合法情况表达为 ,,,,,等(交替出现)。
此时我们考虑将目标点对 对称会怎么样。
此时有两种情况:
- 最后一个经过的是 ,如图。

此时后缀为 。
- 最后一个经过的是 (图中显然不合法,只是演示用,但是这种情况确实会发生,不理解的可以画图)。

此时后缀为 。
综上,他统计后缀为 或 的方案数。但是他无法统计后缀为 的方案数。想要得到后缀为 的方案数,我们关于 对称即可但是我们会算重一些方案,比如 (既有后缀 , 又有后缀 )。
那么,我们能不能求出只经过 或 的值方案数(请注意,这里说的不是后缀)?我们考虑把关于 对称的点再关于 对称(如图),此时又有两种情况:
- 最后一个经过的是 ,如图。

此时后缀为 。
- 最后一个经过的是 (图中不合法得更离谱了,只是演示用,而且这种情况也确实会发生,不理解的也可以画图)。

此时后缀为 。
综上,他统计后缀为 或 的方案数,而且我们发现,将结尾为 或 的方案数减去结尾为 或 的方案数,就得到了只经过 或 的方案数!
同理,再关于 对称,得到后缀为 或 的方案数,再关于 对称,得到后缀为 或 的方案数,相减,得到只经过 或 的方案数,以此类推,直到当前点不在第一象限即可。
那么我们就解决了 ,,,,, 等为后缀的方案数,此时还剩下 ,,,,, 等为后缀的方案数,而这些和前面几乎一模一样,只需要先关于 对称即可。
于是我们就解决了这类问题。
例题
这道题的 dp 部分比较简单,观察到每行 个数且值域为 ,有 个数,所以定义 表示当前选到第 行,这行不选 的方案数,转移非常简单,直接写了: ,而且我们发现右边的东西就等于 ,可以看作走路径(如图):

我们把这张图斜着的边拉直(黑色部分),最左边的一列路径改成折线(红色部分),得到:

我们发现两条蓝线正好是 ,题目转化成从 到 (不理解终点为什么在这的可以可以手搓一下),不碰到 的方案数,用上文方法即可。
Code
CPP#include <bits/stdc++.h>
using namespace std;
#define int long long
constexpr int maxn = 3000010, modd = 1000000007;
int n, m, fac[maxn], invfac[maxn], ans;
int ksm(int a, int b) { // 快速幂
int ress = 1;
while (b) {
if (b & 1) ress = ress * a % modd;
a = a * a % modd;
b >>= 1;
}
return ress;
}
void init() { // 阶乘初始化,用来加速组合数
fac[0] = invfac[0] = 1;
for (int i = 1; i < maxn; i++) {
fac[i] = fac[i - 1] * i % modd;
invfac[i] = ksm(fac[i], modd - 2);
}
return ;
}
int C(int a, int b) { // 组合数
return fac[a] * invfac[b] % modd * invfac[a - b] % modd;
}
void mirrorL1(int &x, int &y) { // 关于 l1 对称
int t = x;
x = y - 1;
y = t + 1;
return ;
}
void mirrorL2(int &x, int &y) { // 关于 l2 对称
int t = x;
x = y + m + 2;
y = t - m - 2;
return ;
}
void solveA(int nowx, int nowy) { // A, AB, ABA, ABAB 情况的计数
int flag = 0;
mirrorL1(nowx, nowy);
while (nowx >= 0 && nowy >= 0) {
if (!flag) ans = (ans - C(nowx + nowy, min(nowx, nowy))) % modd;
else ans = (ans + C(nowx + nowy, min(nowx, nowy))) % modd;
flag ^= 1;
if (flag) {
mirrorL2(nowx, nowy);
} else {
mirrorL1(nowx, nowy);
}
}
return ;
}
void solveB(int nowx, int nowy) { // B, BA, BAB, BABA 情况的计数
int flag = 1;
mirrorL2(nowx, nowy);
while (nowx >= 0 && nowy >= 0) {
if (flag) ans = (ans - C(nowx + nowy, min(nowx, nowy))) % modd;
else ans = (ans + C(nowx + nowy, min(nowx, nowy))) % modd;
flag ^= 1;
if (flag) {
mirrorL2(nowx, nowy);
} else {
mirrorL1(nowx, nowy);
}
}
return ;
}
signed main() {
ios::sync_with_stdio(false), cin.tie(nullptr), cout.tie(nullptr);
cin >> n >> m;
init();
ans = C(n + n + m + 1, n) % modd; // 总方案
solveA(n + m + 1, n);
solveB(n + m + 1, n);
cout << (ans % modd + modd) % modd << '\n';
return 0;
}
相关推荐
评论
共 4 条评论,欢迎与作者交流。
正在加载评论...