专栏文章
关于求最小生成树prim算法和cruscal算法的复杂度分析
算法·理论参与者 1已保存评论 0
文章操作
快速查看文章及其快照的属性,并进行相关操作。
- 当前评论
- 0 条
- 当前快照
- 1 份
- 快照标识符
- @miquwosb
- 此快照首次捕获于
- 2025/12/04 11:08 3 个月前
- 此快照最后确认于
- 2025/12/04 11:08 3 个月前
长文预警:约1600字,总耗时(含编码,测试等)约八九个小时完成。
有人认为:“Prim算法适合稠密图,cruscal算法适合稀疏图”。我可以断言,这种说法前半句没有问题,但后半句至少在当前来看(未来计算机发展成什么样暂且不论)是非常有问题的!无论是理论分析,还是实际测试,得出的结论都能证明后半句根本没有道理。
两种算法都是贪心算法。Prim类似于dijkstra,从选定一个起始点开始,每次循环都拉一个新的点“入伙”,复杂度是min(mlogn, n^2),(加堆优化和不加堆优化,选择复杂度小的那个即可,接近完全图的稠密图反而可能不加堆优化跑得更快)而这个log的真数也是根据不同的数据结构决定的,如果用优先队列,那么复杂度就是O(mlogm),因为priority_queue不支持删除任意元素,当然也不支持修改任意元素,只能删除堆顶(top)的元素,所以导致大量无效元素堆积在队列中,因为我们在更新距离的时候,只能将新的距离加入队列,却无法立即删除旧的距离,最多每一条边都导致一个元素加入队列,最多m次push操作,队列中最多m个元素,所以复杂度就是O(mlogm)。而手写堆就可以删除/修改任意元素了,只要建立双向映射,找到堆中这个元素的位置即可。仍然是最多每条边更新一次答案,导致最多对堆进行m次操作(无论是加入还是修改都算作一次操作),而堆里最多n个元素,因为每个点有且仅有一个位置,不会出现优先队列当中新距离和过时的旧距离同时存在的情况。而且prim的mlogn不一定能达到上界,因为可能有很多边不会更改堆里的数据。
而cruscal算法需要对所有边排序,所以cruscal复杂度是mlogm(实际上是2mlnm,用数学归纳法和微积分算出来的,我之前发过有关这个算法的说说)。
通过实际运行结果,我们发现:理论复杂度低的算法并不一定实际运行速度就快。例如同时使用按秩合并和路径压缩,可以将并查集操作的单次并查集操作减到反阿克曼(n),但它的运行速度却反而比不上只用路径压缩的log n,因为只用路径压缩就已经足够快了,也很难达到上界。再加上按秩合并反而会增加常数(并查集算法的数学证明较为复杂,略)
有人说算法和语言无关,但是算法想要在电脑上跑起来还是要借助计算机语言的。分明手写堆的理论复杂度比有点队列低,但不得不说STL就是跑得快。有了STL的加持,反而优先队列跑得比手写堆还要快。我记得在2019年我曾经用一道题试过,当时的测试结果是手写堆比优先队列快。可见时代的发展也会影响代码的运行速度。所以我也在开头说过在未来这些算法会发展成什么样我也难说。比如有可能在未来计算机运行速度的进步导致某一算法速度变快,目前它并不优秀,但在未来大放光彩也是有可能的。
根据理论分析结果,两者都是m乘log(根据换底公式,底数和真数的影响均视为常数影响),但prim算法一般达不到上界,所以我预期的是prim算法可以碾压cruscal算法,但实际运行结果却是,第一个板子题(稠密程度一般)不相上下,第二个稀疏图上prim也是仅以微弱优势取胜,和我的预期大相径庭,令我十分吃惊。我也不禁感叹,C++的sort函数就是强啊,一般来说编程语言自带的东西就是比我们手写的东西速度快的,甚至快很多。由此可见,算法的速度还是要依靠语言的。
还有就是,有些人写prim不会用堆和邻接表,只会无脑邻接矩阵,n^2暴力。如果是基于这一点,得出了”稀疏图不适合prim”这一结论,那我只能说,不会选数据结构就别赖算法,就好比某人不会开枪,然后说枪不如匕首一样可笑。那是他自己不会用,不是算法不行,好好的算法用的稀烂。
此外,此次测试结果仅作参考。图论算法的运行速度往往波动性较大,受到图的形状影响较大。尤其是最短路里面著名的SPFA算法,运气好的时候跑得巨快,运气不好就经常原地转圈,因数据更新而将已经算完的数据“返工”,非常看运气。而且就算对于同一张图,先处理哪个点,后处理哪个点,先处理哪个边,后处理哪个边也有可能导致虽然算出的结果相同,但是速度不一样。所以如果你测试的结果和我不一样,也是正常的事情。由于图的形状千奇百怪,形成的概率也各不相同,所以我们很难通过统一的数学运算算出算法运行的数学期望,也只能估算一下复杂度上界,并用实际运算结果估计数学期望了。
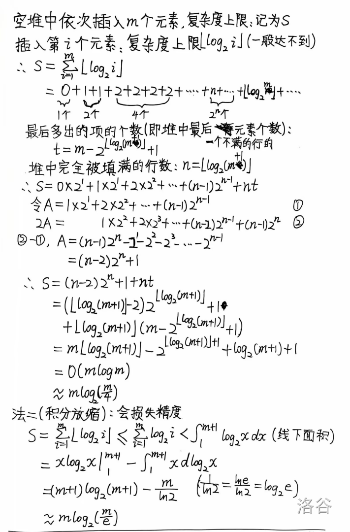
贴一下数学证明吧,看不懂也不重要。


相关推荐
评论
共 0 条评论,欢迎与作者交流。
正在加载评论...
代码及提交结果: