专栏文章
题解:CF2103E Keep the Sum
CF2103E题解参与者 7已保存评论 6
文章操作
快速查看文章及其快照的属性,并进行相关操作。
- 当前评论
- 5 条
- 当前快照
- 1 份
- 快照标识符
- @min2j0ka
- 此快照首次捕获于
- 2025/12/01 19:31 3 个月前
- 此快照最后确认于
- 2025/12/01 19:31 3 个月前
山重水复疑无路,柳暗花明又一村。
脑电波题。
题意
给定一个长度为 的,值域为 的序列 。每次操作可以选择两个和为 的数,任意修改它们的值,需要保证修改完之后和仍然为 。求一种操作方案使序列单调不降,要求操作次数 。
思路
首先先刷掉已经有序的、无序且无法操作的。则接下来至少有一对 。
发现并没有让我们求最小次数,也就是说这个最小次数可能连出题人也不会。
再结合这个并不美观的操作,我们可以想到先从宽松一点的做法开始,比如排序。
又因为操作次数要求在 级别,我们想到:任意交换两个数对序列进行排序,所需的操作数至多只有 次! 于是我们考虑如何用 次操作交换两个数。
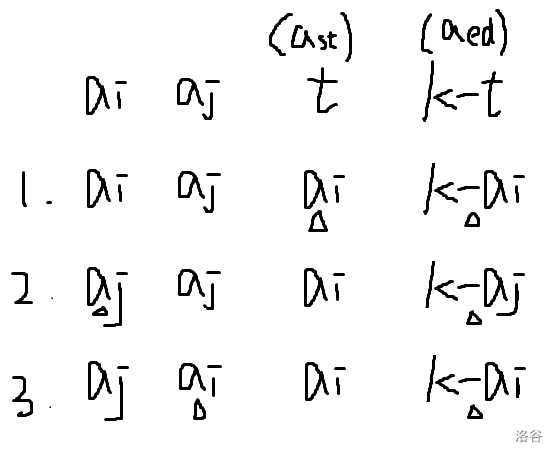
这里直接给出操作方案。下图中三角下标的是被操作的数。

容易发现 的位置完全不重要,并且这么操作完 仍然为 ,可以继续进行下一次操作。
于是我们就可以像 CF489A 那样用交换进行排序。
最后这两个 怎么办呢?我们可以在交换排序前用一次操作将 换到 位置(这里具体操作:将 分别设为 ),用一次操作将 换到 位置(同理),最后再用一次操作将 设为 , 设为 即可。
总操作次数:,能够通过。
时间复杂度 。
代码
CPP#include <bits/stdc++.h>
using namespace std;
typedef long long ll;
ll n, T, k, a[200002], st, ed, len, rk[200002], kr[200002];
unordered_map<ll, ll> p;
struct node {
ll x, y, z;
}op[600002];
void calc(ll x, ll y, ll z) { // change a[x] to z, a[y] to (k - z) (a[x] + a[y] = k)
if (a[x] == z) return ;
op[++ len] = {x, y, a[x] - z};
a[x] = z, a[y] = k - z;
}
bool cmp(ll x, ll y) {
return a[x] < a[y];
}
int main() {
cin >> T;
while (T -- ) {
cin >> n >> k;
p.clear();
bool istd = 1;
st = ed = len = 0;
for (ll i = 1; i <= n; i ++ ) rk[i] = kr[i] = 0, cin >> a[i], istd &= (a[i] >= a[i - 1]);
if (istd) { cout << "0\n"; continue; } // is sorted,是否已经有序
for (ll i = 1; i <= n && ! st; i ++ )
if (p[k - a[i]]) st = p[k - a[i]], ed = i;
else p[a[i]] = i;
if (! st) { cout << "-1\n"; continue; } // 是否有和为 k 的对
if (st != 1) calc(st, ed, a[1]), st = 1;
if (ed != n) calc(ed, st, a[n]), ed = n;
//换到头尾
for (ll i = 2; i < n; i ++ ) kr[i] = i;
sort(kr + 2, kr + n, cmp);
for (ll i = 2; i < n; i ++ ) rk[kr[i]] = i;
for (ll i = 2; i < n; i ++ ) {
ll x = i, y = kr[i], t = a[x];
swap(kr[rk[x]], kr[rk[y]]);
swap(rk[x], rk[y]);
calc(1, n, a[x]);
calc(x, n, a[y]);
calc(y, n, t);
}
calc(1, n, 0);
cout << len << "\n";
for (ll i = 1; i <= len; i ++ ) cout << op[i].x << " " << op[i].y << " " << op[i].z << "\n";
}
}
相关推荐
评论
共 6 条评论,欢迎与作者交流。
正在加载评论...