专栏文章
FFT 快速傅里叶变换学习笔记
算法·理论参与者 1已保存评论 0
文章操作
快速查看文章及其快照的属性,并进行相关操作。
- 当前评论
- 0 条
- 当前快照
- 1 份
- 快照标识符
- @mip97l1s
- 此快照首次捕获于
- 2025/12/03 08:13 3 个月前
- 此快照最后确认于
- 2025/12/03 08:13 3 个月前
前言
作者 @__CrossBow_EXE__ 在 2025.5.19 学完了 FFT 后,感觉脑子不够用,因此作此文章。
FFT 太强了!
前置芝士
- 复数
- 多项式
- 函数
不了解也没关系,马上就会介绍。
复数
众所周知,。 称作虚数单位。形似 的数叫做复数。复数的基本运算如下:
如果我们把实数轴看作横坐标,虚数轴看作纵坐标,我们就有了一个坐标系,称为复平面。每个实数或虚数都能在复平面上表示。如图:
而上图中的 可以看作一个从 指向 的向量。向量听起来高大上,其实就是一个有向线段。
接着,我们作一个圆,圆心为 ,半径为 。根据圆的定义,每个从原点指向圆上一点的向量长度都为 。假设一个向量与实数轴的夹角为 ,如下图:

根据三角函数,我们知道:这个直角三角形三条边的长度分别为 ,,。恰好这是一个直角三角形,满足勾股定理,于是就有我们的第一个公式:
我们还需要知道单位根。如果我们把单位圆给 等分,那我们就有了 个向量。为了表示每个向量,我们引入符号 ,其中 为等分的数量,后面整篇文章默认 为 的幂, 不是虚数。(得后遗症了?)
我们把指向正右方的向量记作 ,接着逆时针标上 。如下图:

单位根有许多好玩但并不简单的性质:
- 还记得上面的公式吗?每一个单位根都可以通过这个公式的变形得到:。
- 单位根可以“约分”:。很容易理解,比如六等分的第三个就相当于二等分的第一个。
- 。也很容易理解,右边相当于左边转了半圈。
多项式的表示法
假设我们有一个多项式 ,显然我们可以用 数组 来表示它。这叫做一个多项式的系数表示法。
但计算机在处理它时效率很低。考虑把多项式看作一个函数。众所周知,两点确定两个项的一次函数,三点确定三个项的二次函数,那么多项式作为一个 个项的 次函数,肯定可以用 个点表示。即:选取 个横坐标,按照函数算出纵坐标,把所有点的坐标都列出来。这是多项式的点值表示法。
有一件很显然的事:系数表示法和点值表示法是可以互推的。FFT 就是在干这件事。
FFT 思想
如果我们要计算两个多项式的乘积,复杂度是 的。快速傅里叶变换可以运用上面两个知识,把这个过程变为 的。
我们假设有一个多项式 。它的系数表示法显然是 。对它做如下变化:
把下标按奇偶分类,
把后面的括号提出 ,
稍作整理,
但是,如果我们随便带入一个 ,复杂度依旧是 的。那我们应该带入什么呢?
没错,代入复数!想一想,为什么。
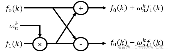
将 带入后,还不能轻举妄动,需要分类讨论。
- ,那么 就相当于
看着复杂,其实对着图很快就能推出来。
不难发现,两个式子只有中间的符号上有区别。
而我们只需要把所有 带入 和 ,就能求出来 的值了。那么怎么带入 和 呢?仿照上面的过程,递归实现即可。
这样问题每次都能减少一半( 变成了 ),共有 层,而我们需要带入 个数,复杂度来到了 !
上面的过程是把系数表示法转为点值表示法,称作 DFT。怎么再转回来呢?这需要用到单位根反演的知识,老师上课也没讲,这里剧透一下:把欧拉公式中的加号改成减号即可。这个转回来的过程乘坐 IDFT。它与 DFT 的差别仅在正负号上。
因此,在代码实现时,不必分两个函数;而是在一个函数中加上一个参数 ,往里传 或 ,函数中就用 乘上 后面那一坨即可。
知道了这些,我们就能写出最基础的 FFT 代码了。
递归版 FFT 代码
CPP#include<bits/stdc++.h>
#define ll long long
#define endl '\n'
using namespace std;
int n,m;
const double PI=acos(-1);
const int N=2000005;
struct num{
double x,y;//x+yi
num(double xx=0,double yy=0){x=xx,y=yy;}
num operator +(num const &B) const{return num(x+B.x,y+B.y);}
num operator -(num const &B) const{return num(x-B.x,y-B.y);}
num operator *(num const &B) const{return num(x*B.x-y*B.y,x*B.y+y*B.x);}
//除法没用
}f[N<<1],g[N<<1],tmp[N<<1];
void fft(num *f,int len,int type){
if(len==1) return;//边界条件
num *f0=f,*f1=f+(len>>1);
for(int i=0;i<len;i++) tmp[i]=f[i];//缓存
for(int i=0;i<(len>>1);i++){//分奇偶打乱
f0[i]=tmp[i<<1];
f1[i]=tmp[i<<1|1];
}
//分治
fft(f0,len>>1,type);
fft(f1,len>>1,type);
num t(cos(2*PI/len),type*sin(2*PI/len)),buf(1,0);
for(int i=0;i<(len>>1);i++){
tmp[i]=f0[i]+buf*f1[i];
tmp[i+(len>>1)]=f0[i]-buf*f1[i];
buf=buf*t;//旋转
}
for(int i=0;i<len;i++) f[i]=tmp[i];//放回
}
int ans[N];
signed main(int argc,char *argv[]){
// freopen(".in","r",stdin);
// freopen(".out","w",stdout);
ios::sync_with_stdio(NULL);
cin.tie(0),cout.tie(0);
cin>>n>>m;
for(int i=0;i<=n;i++) cin>>f[i].x;
for(int i=0;i<=m;i++) cin>>g[i].x;
int lim=1;
for(;lim<=n+m;lim<<=1);
fft(f,lim,1);fft(g,lim,1);
for(int i=0;i<=lim;i++){
f[i]=f[i]*g[i];
}
fft(f,lim,-1);
for(int i=0;i<=lim;i++) ans[i]+=int(f[i].x/lim+0.5);
for(int i=0;i<=n+m;i++) cout<<ans[i]<<' ';
cout<<endl;
return 0;
}
/*
---INFORMATIONS---
TIME:2025-05-19 08:53:45
PROBLEM:P3803
CODE BY __CrossBow_EXE__ Luogu uid967841
*/
注意到代码中的结构体了吗?那是我手工实现的复数类。虽说 STL 自带一个复数类
complex,但毕竟手工的更安心。但是众所周知,递归的常数很大。为了解决这个问题,又有了非递归版的 FFT。
蝴蝶变换与非递归版 FFT
在讲非递归的 FFT 前,先来说一下如何优化。优化的方法叫做蝴蝶变换。
先来看这张图,很清晰地展示了 FFT 的递归过程:

没看懂?再看这张图,注意叶子节点的二进制和它到根的路径的关系:

可以发现,每个叶子节点到根的路径都可以表示为一个 01 串,而这个 01 串刚好和这个叶子节点的二进制相同。反过来讲,从根节点到每个叶子节点的路径,刚好是叶子节点的二进制反过来。
还记得我们的代码吗?注意到在递归分治之前,只是把位置给调换过来了。如果我们提前就把位置摆好,是不是就不用递归了呢?知道了顺序,直接从叶子节点网上算不就搞定了?
换句话说,运算顺序可以表示为这张图:

正因为这张图长得像一只蝴蝶,因此取名为“蝴蝶变换”。(哪里像了?)
CPP#include<bits/stdc++.h>
#define ll long long
#define endl '\n'
using namespace std;
int n,m;
const double PI=acos(-1);
const int N=2000005;
int r[N<<1];
struct num{
double x,y;//x+yi
num(double xx=0,double yy=0){x=xx,y=yy;}
num operator +(num const &B) const{return num(x+B.x,y+B.y);}
num operator -(num const &B) const{return num(x-B.x,y-B.y);}
num operator *(num const &B) const{return num(x*B.x-y*B.y,x*B.y+y*B.x);}
//除法没用
}f[N<<1],g[N<<1],tmp[N<<1];
void fft(num *f,int lim,int type){
for(int i=0;i<lim;i++){//重新排列元素
if(i<r[i]) swap(f[i],f[r[i]]);
}
for(int mid=1;mid<lim;mid<<=1){//当前区间长度
num t(cos(PI/mid),type*sin(PI/mid));//单位根初始化
for(int len=mid<<1,j=0;j<lim;j+=len){
num w(1,0);//平躺单位根
for(int i=0;i<mid;i++,w=w*t){//旋转
num x=f[i+j],y=w*f[i+j+mid];
f[i+j]=x+y;
f[i+j+mid]=x-y;
}
}
}
}
int ans[N];
int L;
signed main(int argc,char *argv[]){
// freopen(".in","r",stdin);
// freopen(".out","w",stdout);
ios::sync_with_stdio(NULL);
cin.tie(0),cout.tie(0);
cin>>n>>m;
for(int i=0;i<=n;i++) cin>>f[i].x;
for(int i=0;i<=m;i++) cin>>g[i].x;
int lim=1;
for(;lim<=n+m;lim<<=1,L++);
for(int i=0;i<=lim;i++) r[i]=(r[i>>1]>>1)|((i&1)<<(L-1));
fft(f,lim,1);fft(g,lim,1);
for(int i=0;i<=lim;i++){
f[i]=f[i]*g[i];
}
fft(f,lim,-1);
for(int i=0;i<=lim;i++) ans[i]+=int(f[i].x/lim+0.5);
for(int i=0;i<=n+m;i++) cout<<ans[i]<<' ';
cout<<endl;
return 0;
}
注意到主函数中新加的对 数组的预处理了吗?一大坨位运算,或许是新手最不容易理解的部分了。这里引用老师课件上的解释(有改动):
一个简单的递推过程,观察一下:r[i>>1]相当于把最后一位砍掉,也就是把路径的最高位砍掉了。这样最高位就会凭空冒出一个 。为了把这个 也砍掉,再右移一位,就变成了r[i>>1]>>1。这样一来,我们就把除了最高位的所有位都倒了过来。那我们再把最高位补上,也就有了后面|((i&1)<<(L-1))的部分。
你看懂了吗?反正我没看懂,背过就完了。
但还能优化!上面的代码调用了三次 FFT,可以把它优化到只调用两次!
终极优化版 FFT
注意到,如果一个复数平方,式子如下:
后面的 不正是我们想要的、和 相乘的部分吗?因此我们可以只开一个表示函数的数组,它的实数部分存一个函数,虚数部分存另一个函数,自己乘自己平方即可。
但这样精度损失比较严重,有时用不了。
CPP#include<bits/stdc++.h>
#define ll long long
#define endl '\n'
using namespace std;
int n,m;
const double PI=acos(-1);
const int N=2000005;
int r[N<<1];
struct num{
double x,y;//x+yi
num(double xx=0,double yy=0){x=xx,y=yy;}
num operator +(num const &B) const{return num(x+B.x,y+B.y);}
num operator -(num const &B) const{return num(x-B.x,y-B.y);}
num operator *(num const &B) const{return num(x*B.x-y*B.y,x*B.y+y*B.x);}
//除法没用
}a[N<<1];
void fft(num *f,int lim,int type){
for(int i=0;i<lim;i++){//重新排列元素
if(i<r[i]) swap(f[i],f[r[i]]);
}
for(int mid=1;mid<lim;mid<<=1){//当前区间长度
num t(cos(PI/mid),type*sin(PI/mid));//单位根初始化
for(int len=mid<<1,j=0;j<lim;j+=len){
num w(1,0);//平躺单位根
for(int i=0;i<mid;i++,w=w*t){//旋转
num x=f[i+j],y=w*f[i+j+mid];
f[i+j]=x+y;
f[i+j+mid]=x-y;
}
}
}
if(type==-1){
for(int i=0;i<lim;i++){
a[i].x/=lim;
a[i].y/=lim;
}
}
}
int ans[N];
int L;
signed main(int argc,char *argv[]){
// freopen(".in","r",stdin);
// freopen(".out","w",stdout);
ios::sync_with_stdio(NULL);
cin.tie(0),cout.tie(0);
cin>>n>>m;
for(int i=0;i<=n;i++) cin>>a[i].x;
for(int i=0;i<=m;i++) cin>>a[i].y;
int lim=1;
for(;lim<=n+m;lim<<=1,L++);
for(int i=0;i<=lim;i++) r[i]=(r[i>>1]>>1)|((i&1)<<(L-1));
fft(a,lim,1);
for(int i=0;i<=lim;i++) a[i]=a[i]*a[i];
fft(a,lim,-1);
for(int i=0;i<=n+m;i++){
cout<<int(a[i].y/2+0.5)<<' ';
}
return 0;
}
这种优化叫做三步变两步优化。不过我管它叫虚实相乘。
例题
我们这种蒟蒻做不了太难的题,只能来个模板题练手。值得注意的是,上面三种代码都能通过。它们的对比如下:
| 时间 | 空间 | |
|---|---|---|
| 递归版 FFT | ||
| 非递归版 FFT | ||
| 三步变两步 FFT |
现在知道该背谁了吧?
但还没完!在测试中发现,STL 自带的
complex 居然比手写复数类快!| 时间 | 空间 | |
|---|---|---|
| 三步变两步 FFT+STL 自带复数类 |
因此,请大喊三声:
STL 太强了!
什么?你不会用?可以去看附录。
习题
这里直接给出老师讲的例题。
还有高精乘,就不放链接了。
参考资料
拓展阅读
- 快速数论变换
- 快速沃尔什变换
- Dirichlet 卷积
- 多项式全家桶(慎入!可能做一道就回不来了!)
附录
STL 自带的复数类
complex 貌似比手写的快?这下不得不介绍了。首先,使用它需要导入头文件
complex。创建一个复数很简单,只需要
CPPcomplex<T> num;
即可。其中
T 为数据类型。众所周知,复数分为实部和虚部。而
num.real() 可以访问 num 的实部,num.imag() 可以访问它的虚部。复数之间的四则运算 STL 都帮你重载了,直接用即可。
复数显然不能比较大小。
下面给出使用
CPPcomplex 后的模板题代码:#include<bits/stdc++.h>
#define ll long long
#define endl '\n'
#define num complex<double>
using namespace std;
int n,m;
const double PI=acos(-1);
const int N=2000005;
int r[N<<1];
num a[N<<1],t,w,x,y;
double tmp;
void fft(num *f,int lim,int type){
for(int i=0;i<lim;i++){//重新排列元素
if(i<r[i]) swap(f[i],f[r[i]]);
}
for(int mid=1;mid<lim;mid<<=1){//当前区间长度
t=num(cos(PI/mid),type*sin(PI/mid));//单位根初始化
for(int len=mid<<1,j=0;j<lim;j+=len){
w=num(1,0);//平躺单位根
for(int i=0;i<mid;i++,w=w*t){//旋转
x=f[i+j],y=w*f[i+j+mid];
f[i+j]=x+y;
f[i+j+mid]=x-y;
}
}
}
if(type==-1){
for(int i=0;i<lim;i++){
a[i]/=lim;
}
}
}
int ans[N];
int L;
signed main(int argc,char *argv[]){
// freopen(".in","r",stdin);
// freopen(".out","w",stdout);
ios::sync_with_stdio(NULL);
cin.tie(0),cout.tie(0);
cin>>n>>m;
for(int i=0;i<=n;i++) cin>>a[i];
for(int i=0;i<=m;i++) cin>>tmp,a[i].imag(tmp);
int lim=1;
for(;lim<=n+m;lim<<=1,L++);
for(int i=0;i<=lim;i++) r[i]=(r[i>>1]>>1)|((i&1)<<(L-1));
fft(a,lim,1);
for(int i=0;i<=lim;i++) a[i]=a[i]*a[i];
fft(a,lim,-1);
for(int i=0;i<=n+m;i++){
cout<<int(a[i].imag()/2+0.5)<<' ';
}
return 0;
}
后记
本文或许是作者写的第一篇学习笔记。会有后人看到吗?
希望这一篇文章能让你走进多项式运算的神奇世界,感受爆切紫题的快乐。
依然有一些无聊的统计:本文共 字, 张图片, 个超链接,手搓了 个公式,花费了 天时间。
就到这里吧,感谢你的观看。
2025.05.20 By @__CrossBow_EXE__
幸甚至哉,歌以咏志;CEXE好闪,拜谢 CEXE。
相关推荐
评论
共 0 条评论,欢迎与作者交流。
正在加载评论...