专栏文章
题解:P13065 [GCJ 2020 #2] Emacs++
P13065题解参与者 4已保存评论 3
文章操作
快速查看文章及其快照的属性,并进行相关操作。
- 当前评论
- 3 条
- 当前快照
- 1 份
- 快照标识符
- @mio3250j
- 此快照首次捕获于
- 2025/12/02 12:33 3 个月前
- 此快照最后确认于
- 2025/12/02 12:33 3 个月前
你说的对,但是 abv3Rpkg 说得太抽象了。
前置知识:树上 dp,倍增,矩阵运算,代码能力。
看到“最短时间”的东西,就可以看出来这是一道最短路径的题目了,重点是建图和对图结构的观察。
Part 1:建图
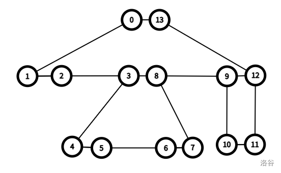
实际上很简单,对于两个相邻的点 ,从 连边权为 的边,从 连边权为 的边;并且对于匹配的括号对 ,从 连边权为 的边,从 连边权为 的边。比如说,对于字符串
()(()())(()),图的结构是这样的:(为了方便,我们在字符串的最外面补上一层括号使它们连通)
我们可以发现一些性质:
- 如果把匹配上的两个点(比如 等)缩成一个点,那么整张图就是一个仙人掌,并且每个点都在至多两个点双连通分量中。
点双连通分量指不存在割点的子图,删除任意单个非端点节点仍保持连通;
仙人掌是指每条边至多在一个点双连通分量的图。
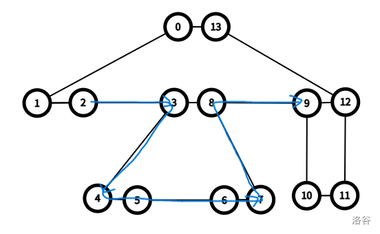
- 如果我们从 dfs 的角度理解括号匹配,比如遇到一个
(就递归,遇到)就回溯,可以形成一个树形结构,整颗树是这样的:(其中蓝色圆圈代表节点,蓝色连边代表树上的边)

这棵树能够很好地表现这个图的一些性质。比如说,我们拿出来这棵树上的一个“父亲-所有儿子”的结构,这棵树上的这个结构在原图上的代表了一个环,同时,这个环在把匹配上的两个点缩起来之后,它就是一个点双。我们可以把这个“环”挂到父亲节点上。
实际上,在代码中建图也是依赖 dfs 的。其中
ring[u] 表示挂到 的环,G 表示这棵树,X[] 和 Y[] 数组分别表示树上的点所代表的左括号和由括号的下标,bl[] 数组表示字符串下标分别在树上的节点。在以下的所有代码中,都有
CPP#define ll long long。以下是建图的代码。void pushring(ll u,ll v){
ring[u].push_back(v);
}
void build_tree(){
ll now=++tot;
X[now]=cur;bl[cur]=now;
pushring(now,cur);
cur++;
while(ch[cur]=='('){
//遇到左括号就递归,遇到右括号就回溯
pushring(now,cur);
G[now].push_back(tot+1);
G[tot+1].push_back(now);
build_tree();
pushring(now,cur);
cur++;
}
Y[now]=cur;bl[cur]=now;
pushring(now,cur);
}
Part 2:重标边权
我们知道,把图上每两个匹配的点缩成一个点,最后就是一个仙人掌。现在假定我们会了仙人掌最短路,先考虑“把每两个匹配的点缩成一个点”这个操作执行,会对答案产生哪些问题。
如图所示,我们想求 的最短路,如果 的边权过大,那么路径就可能绕过 从而走到其它地方绕一圈,导致在同一个环上两个点的最短路不全在环上,这样不好控制以及计算了。

可以发现,出现问题的矛盾点是匹配上的点对。我们可以求出对于所有匹配上的点对,求出两两之间真正的最短路,然后重标边权,把新算出来的值作为新的 。
可以发现,经过以上操作之后,同一个环上两个点的最短路就一定在环上了。
但是这个怎么求呢?还记得以上的树形结构吗?这里可以考虑树形 dp。这里设 表示树上 代表的左括号下标, 表示 代表的右括号下标, 表示 的所有孩子节点的集合。
可以发现,, 之间的最短路要么全在 子树内,要么全在 子树外,因而可设状态:
表示 子树内,从 走到 的最短路。
表示 子树内,从 走到 的最短路。
表示 子树外,从 走到 的最短路。
表示 子树外,从 走到 的最短路。
表示 子树内,从 走到 的最短路。
表示 子树外,从 走到 的最短路。
表示 子树外,从 走到 的最短路。
接下来就是转移。设 是 的一个孩子,我们可以考虑先转移前两个状态,可以从下往上转移。
这条路径一定是从父亲的一个点出发,然后往下走到儿子节点,绕一圈再走回来。
我们写出 的转移式子,稍微复杂一点。因为这条路径是子树外的,我们考虑从上往下转移。
这条路径一定是从儿子的一个点出发,往上绕到父亲节点,绕一圈再走回来。
转移结束,对于所有的 ,让 。
以下就是转移的代码。
CPPvoid get_f(ll u,ll fat){
ll sum[2]={R[X[u]],L[Y[u]]};
for(auto v:G[u]){
if(v==fat)continue;
get_f(v,u);
sum[0]+=R[Y[v]]+f[v][0];
sum[1]+=L[X[v]]+f[v][1];
}
f[u][0]=min(sum[0],P[X[u]]);
f[u][1]=min(sum[1],P[Y[u]]);
}
void get_g(ll u,ll fat){
ll sum[2]={L[Y[u]]+g[u][0],R[X[u]]+g[u][1]};
for(auto v:G[u]){
if(v==fat)continue;
sum[0]+=L[X[v]]+f[v][1];
sum[1]+=R[Y[v]]+f[v][0];
}
for(auto v:G[u]){
if(v==fat)continue;
g[v][0]=min(P[X[v]],sum[0]-f[v][1]);
g[v][1]=min(P[Y[v]],sum[1]-f[v][0]);
get_g(v,u);
}
// 重标边权
P[X[u]]=min(f[u][0],g[u][0]);
P[Y[u]]=min(f[u][1],g[u][1]);
}
在转移 的时候,可以先把 计算出来,转移的时候减掉 的贡献就行,表示 。
Part 3:环上最短路
(这个还要讲吗?)
对于所有的环分别考虑,然后破环成链。然后大概就是类似于下面的结构。

一个比较好的想法是维护从 号点出发,分别到达 这些点的前缀和,这样就可以维护蓝色的边了。
当然,也可以维护从 号点出发,分别到达 这些点的“后缀和”,这样就可以维护红色的边了。
由于经过 Part 2 的操作,同一个环上的两个点,最短路一定全在环上,并且是一个或者是两个区间和,所以在环上从 到 的最短路就可以由前缀和、后缀和数组求出了。
比如说,我们想求出来 的最短路,在蓝色边上,就是求 的区间和,在红色边上,就是求 的边长和 的边长之和,再对求出来的两个路径取 。
以下是求环上前缀和、后缀和以及求环上最短路的代码。
CPPvoid get_pre_suf(){
for(int i=1;i<=tot;i++){
ll sum=0;
pre[i].push_back(0);suf[i].push_back(0);
for(int j=0;j<ring[i].size();j++){
id[i][ring[i][j]]=j;
// id 是一个 unordered_map,存一个 ring[i] 上的点在 ring[i] 的下标
if(j&1)sum+=P[ring[i][j]];
else sum+=R[ring[i][j]];
//环上的路径是 R、P 交替的
pre[i].push_back(sum);
suf[i].push_back(0);
}
sum=0;
for(int j=ring[i].size()-1;j>=0;j--){
if(j&1)sum+=L[ring[i][j]];
else sum+=P[ring[i][j]];
suf[i][j]=sum;
//由于是建立虚点,这里的 +1 可以看作避免负数的delta
}
}
}
ll ring_mindis(ll u,ll x,ll y){
//在 u 为父亲节点的环中 x -> y
//需要对 x 和 y 的大小分类讨论
x=id[u][x],y=id[u][y];
if(x<=y)return min(pre[u][y]-pre[u][x],suf[u][0]-suf[u][x+1]+suf[u][y+1]);
else return min(pre[u][pre[u].size()-1]-pre[u][x]+pre[u][y],suf[u][y+1]-suf[u][x+1]);
}
Part 4:维护树上倍增矩阵
一般来讲,对于很多组询问,每次求出两两之间的最短路大抵就只有树,或者能够转换成树的图能够做到了。所以我们也是先考虑在树上做这件事。
树上求 的最短路,一般的思路是先找到 和 的最近公共祖先 ,然后把 与 的路径拼起来。
但是这个图和树还是有一些不同的,至少树上每一个点代表图上的两个点。那么在树上 的路径也不能只记一条,具体来讲,我们维护一个 的矩阵,分别表示从 表示的的左括号、右括号下标到 表示的左括号、右括号下标的最短路径。我们不妨称其“路径矩阵”。
比如矩阵, 分别表示从 表示的的左括号下标到到 表示的左括号、右括号下标的最短路; 分别表示从 表示的右括号下标到到 表示的左括号、右括号下标的最短路。
现在我们考虑合并两个矩阵会发生什么。
设矩阵 表示 的路径, 表示 的路径,根据定义, 的路径的矩阵是:。
发现这个和矩阵乘法非常像,就是把原本的乘法变成了加法,把原本的加法变成了取 。这个称为 矩阵。
CPPstruct rect{
ll num[2][2];
}zero,INF,getup[maxn][18],getdn[maxn][18];
rect operator *(rect a,rect b){
rect c=INF;
for(int i=0;i<2;i++){
for(int j=0;j<2;j++){
for(int k=0;k<2;k++){
c.num[i][j]=min(c.num[i][j],a.num[i][k]+b.num[k][j]);
}
}
}
return c;
}
现在考虑倍增。
由于我们需要“向上跳”,也需要“向下跳”,所以倍增数组也需要两个。也就是代码中的
getup 和 getdn。我们先明确倍增数组的定义:
getup[u][i]:表示从 开始,往上走 个节点所得到的路径矩阵。getdn[u][i]:表示从 往上走 个节点所得到的点,走到 的路径矩阵。up[u][i]:LCA 数组。
倍增的预处理首先要赋初值。但是也很简单,把所有“父亲-儿子”的结构都处理一遍就行。由于“父亲-儿子”在图中一定在一个环内,所以直接套用环上最短路查询。
以下是预处理倍增的代码。
CPPvoid initdfs(ll u,ll fat){
fa[u]=fat;
dep[u]=dep[fat]+1;
up[u][0]=fat;
for(auto v:G[u]){
if(v==fat)continue;
rect uv;
uv.num[0][0]=ring_mindis(u,X[v],X[u]);
uv.num[0][1]=ring_mindis(u,X[v],Y[u]);
uv.num[1][0]=ring_mindis(u,Y[v],X[u]);
uv.num[1][1]=ring_mindis(u,Y[v],Y[u]);
getup[v][0]=uv;
uv.num[0][0]=ring_mindis(u,X[u],X[v]);
uv.num[1][0]=ring_mindis(u,Y[u],X[v]);
uv.num[0][1]=ring_mindis(u,X[u],Y[v]);
uv.num[1][1]=ring_mindis(u,Y[u],Y[v]);
getdn[v][0]=uv;
initdfs(v,u);
}
}
void initLCA(){
initdfs(1,0);
for(int j=1;j<18;j++){
for(int i=1;i<=tot;i++){
up[i][j]=up[up[i][j-1]][j-1];
//路径合并顺序不能出错
getup[i][j]=getup[i][j-1]*getup[up[i][j-1]][j-1];
getdn[i][j]=getdn[up[i][j-1]][j-1]*getdn[i][j-1];
}
}
}
这样求出从 ,以及从 (其中 是 的最近公共祖先)的路径矩阵就简单很多了,先求出深度差,倍增合并路径矩阵即可。
但是从 的路径有的时候没必要经过 ,实际上,走到 所在的环中就得特殊处理了。所以实际上需要求出的深度差还需要减一,走到同一个环中就不用再往上走了。
以下是倍增求出路径矩阵的代码。
CPPll LCA(ll x,ll y){
//我不信看这篇题解的人不会 LCA 怎么写
}
struct lcaitem{
rect mar;//路径矩阵
ll dn;//从 x->u 到达 u 所在环的第一个点
};
lcaitem getUP(ll u,ll y){
//先向上走一步,因为这种矩阵运算没有单位元,防止合并矩阵时出错
rect ret=getup[y][0];
y=up[y][0];
ll del=dep[y]-dep[u]-1;//这里少一步为了在同一个环内
for(int i=0;i<18;i++){
if(del&(1<<i)){
ret=ret*getup[y][i];
y=up[y][i];
}
}
return {ret,y};
}
lcaitem getDOWN(ll u,ll y){//这个函数是同理的
rect ret=getdn[y][0];
y=up[y][0];
ll del=dep[y]-dep[u]-1;
for(int i=0;i<18;i++){
if(del&(1<<i)){
ret=getdn[y][i]*ret;//合并路径顺序要正确
y=up[y][i];
}
}
return {ret,y};
}
Part 5:处理询问
终于到了最后环节。但是是超级大分讨。
先说正常的 怎么做。先找到 和 在树上对应的点 和 。
找到 为 和 的最近公共祖先是必然的,然后对于 向上找到到 所在环的路径矩阵(记返回的点是 ),再对 找到从 所在环向下到 的路径矩阵(记返回的点是 ),这些都是好做的。
然后分别枚举 取左括号、右括号下标和 取左括号、右括号下标,按照这样的枚举跑四边环上最短路,选择对应的矩阵上的数,最后取个 就是答案了。
这一部分的代码如下:
CPPll getans(ll i,ll j){
//ri 表示最开始的 i 是否值左括号,rj 表示最开始的 j 是否值左括号
//这对选择合适的矩阵上的数有帮助
bool ri=(ch[i]==')'),rj=(ch[j]==')');
ll x=bl[i],y=bl[j];
ll u=LCA(x,y);
lcaitem xx=getUP(u,x),yy=getDOWN(u,y);
rect xr=xx.mar,yr=yy.mar;
ll dnx=xx.dn,dny=yy.dn;
return min({ring_mindis(u,X[dnx],X[dny])+xr.num[ri][0]+yr.num[0][rj],
ring_mindis(u,X[dnx],Y[dny])+xr.num[ri][0]+yr.num[1][rj],
ring_mindis(u,Y[dnx],X[dny])+xr.num[ri][1]+yr.num[0][rj],
ring_mindis(u,Y[dnx],Y[dny])+xr.num[ri][1]+yr.num[1][rj]});
}
当然这只是其中的一般情况,树上点的相对位置关系总是有许多 Corner Case。这里就列出我认为的一些 Corner Case。(我自己对这些边界情况处理不好,就导致这个函数的代码很长)
- 和 在同一个环上。
- 是 的祖先。
- 是 的祖先。
- 令 是 和 的最近公共祖先,并且 的父亲是 。
- 令 是 和 的最近公共祖先,并且 的父亲是 。
注意不要轻易地交换 和 ,因为 和 的路径是不一样的。
大概我就判断了这些边界情况,这些边界情况与一般情况的代码实际上大同小异。
Part 6:代码
把以上所述拼接起来就得到了最终代码。时间复杂度 ,常数较大。
CPP#include<bits/stdc++.h>
#define ll long long
using namespace std;
constexpr ll maxn=1e5+10,inf=1e18;
ll TestCases,n,q;
char ch[maxn];
vector<ll> G[maxn],ring[maxn],pre[maxn],suf[maxn];//建树,挂到根的环,前缀和,后缀和
unordered_map<ll,ll> id[maxn];
ll f[maxn][2],g[maxn][2],dep[maxn],tot,cur,L[maxn],R[maxn],fa[maxn];
ll P[maxn],up[maxn][18],X[maxn],Y[maxn],bl[maxn],S[maxn],T[maxn];
struct rect{
ll num[2][2];
}zero,INF,getup[maxn][18],getdn[maxn][18];
void init(){
tot=cur=0;
for(int i=0;i<=n+5;i++){
id[i].clear();G[i].clear();ring[i].clear();pre[i].clear();suf[i].clear();
f[i][0]=f[i][1]=g[i][0]=g[i][1]=0;
dep[i]=L[i]=R[i]=fa[i]=P[i]=X[i]=Y[i]=bl[i]=S[i]=T[i]=0;
for(int j=0;j<18;j++){
up[i][j]=0;
getup[i][j]=getdn[i][j]=zero;
}
}
}
struct lcaitem{
rect mar;
ll dn;
};
rect operator *(rect a,rect b){
rect c=INF;
for(int i=0;i<2;i++){
for(int j=0;j<2;j++){
for(int k=0;k<2;k++){
c.num[i][j]=min(c.num[i][j],a.num[i][k]+b.num[k][j]);
}
}
}
return c;
}
void pushring(ll u,ll v){
ring[u].push_back(v);
}
void build_tree(){
ll now=++tot;
X[now]=cur;bl[cur]=now;
pushring(now,cur);
cur++;
while(ch[cur]=='('){
pushring(now,cur);
G[now].push_back(tot+1);
G[tot+1].push_back(now);
build_tree();
pushring(now,cur);
cur++;
}
Y[now]=cur;bl[cur]=now;
pushring(now,cur);
}
void get_f(ll u,ll fat){
ll sum[2]={R[X[u]],L[Y[u]]};
for(auto v:G[u]){
if(v==fat)continue;
get_f(v,u);
sum[0]+=R[Y[v]]+f[v][0];
sum[1]+=L[X[v]]+f[v][1];
}
f[u][0]=min(sum[0],P[X[u]]);
f[u][1]=min(sum[1],P[Y[u]]);
}
void get_g(ll u,ll fat){
ll sum[2]={L[Y[u]]+g[u][0],R[X[u]]+g[u][1]};
for(auto v:G[u]){
if(v==fat)continue;
sum[0]+=L[X[v]]+f[v][1];
sum[1]+=R[Y[v]]+f[v][0];
}
for(auto v:G[u]){
if(v==fat)continue;
g[v][0]=min(P[X[v]],sum[0]-f[v][1]);
g[v][1]=min(P[Y[v]],sum[1]-f[v][0]);
get_g(v,u);
}
P[X[u]]=min(f[u][0],g[u][0]);
P[Y[u]]=min(f[u][1],g[u][1]);
}
void get_pre_suf(){
for(int i=1;i<=tot;i++){
ll sum=0;
pre[i].push_back(0);suf[i].push_back(0);
for(int j=0;j<ring[i].size();j++){
id[i][ring[i][j]]=j;
if(j&1)sum+=P[ring[i][j]];
else sum+=R[ring[i][j]];
pre[i].push_back(sum);
suf[i].push_back(0);
}
sum=0;
for(int j=ring[i].size()-1;j>=0;j--){
//0,1,2,3,4,5,6,7
if(j&1)sum+=L[ring[i][j]];
else sum+=P[ring[i][j]];
suf[i][j]=sum;//这里的 +1 可以看作避免负数的delta
}
}
}
ll ring_mindis(ll u,ll x,ll y){
//在 u 为父亲节点的环中 x -> y
x=id[u][x],y=id[u][y];
if(x<=y)return min(pre[u][y]-pre[u][x],suf[u][0]-suf[u][x+1]+suf[u][y+1]);
else return min(pre[u][pre[u].size()-1]-pre[u][x]+pre[u][y],suf[u][y+1]-suf[u][x+1]);
}
void initdfs(ll u,ll fat){
fa[u]=fat;
dep[u]=dep[fat]+1;
up[u][0]=fat;
for(auto v:G[u]){
if(v==fat)continue;
rect uv;
uv.num[0][0]=ring_mindis(u,X[v],X[u]);
uv.num[0][1]=ring_mindis(u,X[v],Y[u]);
uv.num[1][0]=ring_mindis(u,Y[v],X[u]);
uv.num[1][1]=ring_mindis(u,Y[v],Y[u]);
getup[v][0]=uv;
uv.num[0][0]=ring_mindis(u,X[u],X[v]);
uv.num[1][0]=ring_mindis(u,Y[u],X[v]);
uv.num[0][1]=ring_mindis(u,X[u],Y[v]);
uv.num[1][1]=ring_mindis(u,Y[u],Y[v]);
getdn[v][0]=uv;
initdfs(v,u);
}
}
void initLCA(){
initdfs(1,0);
for(int j=1;j<18;j++){
for(int i=1;i<=tot;i++){
up[i][j]=up[up[i][j-1]][j-1];
getup[i][j]=getup[i][j-1]*getup[up[i][j-1]][j-1];
getdn[i][j]=getdn[up[i][j-1]][j-1]*getdn[i][j-1];
}
}
}
ll LCA(ll x,ll y){
if(dep[x]>dep[y])swap(x,y);
ll del=dep[y]-dep[x];
for(int i=0;i<18;i++){
if(del&(1<<i)){
y=up[y][i];
}
}
if(x==y)return x;
for(int i=17;i>=0;i--){
if(up[x][i]!=up[y][i]){
x=up[x][i];
y=up[y][i];
}
}
return up[x][0];
}
lcaitem getUP(ll u,ll y){
rect ret=getup[y][0];
y=up[y][0];
ll del=dep[y]-dep[u]-1;//这里少一步只是为了在同一个环内
for(int i=0;i<18;i++){
if(del&(1<<i)){
ret=ret*getup[y][i];
y=up[y][i];
}
}
return {ret,y};
}
lcaitem getDOWN(ll u,ll y){
rect ret=getdn[y][0];
y=up[y][0];
ll del=dep[y]-dep[u]-1;//这里少一步只是为了在同一个环内
for(int i=0;i<18;i++){
if(del&(1<<i)){
ret=getdn[y][i]*ret;
y=up[y][i];
}
}
return {ret,y};
}
ll getans(ll i,ll j){
bool ri=(ch[i]==')'),rj=(ch[j]==')');
ll x=bl[i],y=bl[j];
if(fa[x]==fa[y])return ring_mindis(fa[x],i,j);//corner case
ll u=LCA(x,y);
if(u==x){
//case #1: x 是 y 的祖先
if(x==fa[y])return ring_mindis(u,i,j);//corner case
lcaitem st=getDOWN(u,y);
rect r=st.mar;
ll dn=st.dn;
return min(ring_mindis(u,i,X[dn])+r.num[0][rj],
ring_mindis(u,i,Y[dn])+r.num[1][rj]);
}else if(u==y){
//case #2: y 是 x 的祖先
if(y==fa[x])return ring_mindis(u,i,j);//corner case
lcaitem st=getUP(u,x);
rect r=st.mar;
ll dn=st.dn;
return min(ring_mindis(u,X[dn],j)+r.num[ri][0],
ring_mindis(u,Y[dn],j)+r.num[ri][1]);
}else{
//case #3: 不存在祖先关系
if(fa[x]==u){
//corner case #1:x 的祖先是 lca
lcaitem st=getDOWN(u,y);
rect r=st.mar;
ll dn=st.dn;
if(ri)return min(
ring_mindis(u,Y[x],X[dn])+r.num[0][rj],
ring_mindis(u,Y[x],Y[dn])+r.num[1][rj]);
else return min(
ring_mindis(u,X[x],X[dn])+r.num[0][rj],
ring_mindis(u,X[x],Y[dn])+r.num[1][rj]);
}else if(fa[y]==u){
//corner case #2:y 的祖先是 lca
lcaitem st=getUP(u,x);
rect r=st.mar;
ll dn=st.dn;
if(rj)return min(
ring_mindis(u,X[dn],Y[y])+r.num[ri][0],
ring_mindis(u,Y[dn],Y[y])+r.num[ri][1]);
else return min(
ring_mindis(u,X[dn],X[y])+r.num[ri][0],
ring_mindis(u,Y[dn],X[y])+r.num[ri][1]);
}
lcaitem xx=getUP(u,x),yy=getDOWN(u,y);
rect xr=xx.mar,yr=yy.mar;
ll dnx=xx.dn,dny=yy.dn;
return min({ring_mindis(u,X[dnx],X[dny])+xr.num[ri][0]+yr.num[0][rj],
ring_mindis(u,X[dnx],Y[dny])+xr.num[ri][0]+yr.num[1][rj],
ring_mindis(u,Y[dnx],X[dny])+xr.num[ri][1]+yr.num[0][rj],
ring_mindis(u,Y[dnx],Y[dny])+xr.num[ri][1]+yr.num[1][rj]});
}
}
ll solve(){
cin>>n>>q>>(ch+1);
for(int i=1;i<=n;i++)cin>>L[i];
for(int i=1;i<=n;i++)cin>>R[i];
for(int i=1;i<=n;i++)cin>>P[i];
ch[0]='(';ch[n+1]=')';
R[0]=L[n+1]=P[0]=P[n+1]=inf;
build_tree();
get_f(1,0);
get_g(1,0);
get_pre_suf();
initLCA();
ll ret=0;
for(int i=1;i<=q;i++)cin>>S[i];
for(int i=1;i<=q;i++)cin>>T[i];
for(int i=1;i<=q;i++){
ll ss=getans(S[i],T[i]);
ret+=ss;
}
init();
return ret;
}
int main(){
ios::sync_with_stdio(false);
cin.tie(0);
cout.tie(0);
INF.num[0][0]=INF.num[0][1]=INF.num[1][0]=INF.num[1][1]=inf;
cin>>TestCases;
for(int i=1;i<=TestCases;i++){
cout<<"Case #"<<i<<": "<<solve()<<"\n";
}
return 0;
}
相关推荐
评论
共 3 条评论,欢迎与作者交流。
正在加载评论...